Ábaco

Con el vocablo «ábaco» han sido designados tres instrumentos de cálculo no muy semejantes. El más antiguo y simple, del que se sirvieron muchas culturas antiguas, y entre ellas la griega, no era más que un tablero espolvoreado con una capa de arena oscura, donde se podían trazar con el dedo o un estilete cifras y figuras geométricas. Se cuenta que Arquímedes estaba ayudándose en sus cálculos con una de estas «pizarras de arena» cuando fue muerto por un soldado romano. La palabra griega abax, que expresa la idea general de tablero liso o mesa sin patas, pudiera proceder de abaq, palabra hebrea que significaba polvo. Un segundo tipo de ábacos, conocido ya desde el siglo cuarto a. C., y que todavía permanecía en uso durante el Renacimiento, era el tablero de recuento. Se trataba de un auténtico utensilio de cálculo, un computador digital tan genuino como la regla de cálculo lo es en lo analógico. El tablero estaba grabado con líneas paralelas que representaban los lugares de valor relativo de un sistema de numeración, por lo común, de base diez. Estas líneas podían estar trazadas sobre pergamino, esculpidas en mármol, vaciadas en madera e incluso bordadas en paño. Desplazando adelante y atrás sobre las líneas cuentas sueltas podían ejecutarse cálculos sencillos. Los griegos llamaban abakion a este tipo de instrumento, y los romanos, abacus. Las cuentas utilizadas eran piedrecitas redondeadas que se iban moviendo por los surcos; la palabra latina calculus, piedrecita, es por ello madre de nuestros «cálculo» y «calcular». Varias figuras, una de ellas sobre un ánfora griega, muestran cómo se usaba la tabla de recuento. Tan sólo una tabla de recuento griega ha llegado a nuestros días: un rectángulo de mármol de unos 12 por 15 centímetros, descubierto en la isla de Salamis. Durante la Edad Media se usaron, en cambio, tableros divididos en escaques.

El utensilio que hoy conocemos por ábaco es, fundamentalmente, una tabla de recuento modificada, donde las cuentas están ensartadas en alambres o varillas, o alojadas en ranuras. Se desconoce su origen. Los antiguos griegos no llegaron probablemente a conocer este instrumento— las primeras referencias a él se encuentran en textos latinos. Las cuentas, que los romanos llamaban claviculi (clavillos), se deslizaban por surcos, hacia arriba y hacia abajo. Los romanos conocieron varias versiones del artefacto. Particularmente interesante es un pequeño ábaco de bronce que se usó en Italia nada menos que en el siglo XVII, y es interesante porque en su estructura fundamental es idéntico al ábaco japonés de nuestros días. Cada uno de sus surcos verticales representa una potencia de 10, sucesivamente crecientes de derecha a izquierda. En cada surco, cuatro cuentas situadas bajo una línea horizontal sirven para expresar múltiplos del valor del surco, mientras una quinta cuenta, situada sobre la línea, denota cinco veces tal valor. Tropezamos aquí con una curiosa situación, que ya puso de relieve el matemático alemán Karl Menninger en su libro Number Words and Number Symbols. Durante más de quince siglos, los griegos y romanos primero, y los europeos de la Edad Media después se valieron en sus cálculos de dispositivos genuinamente fundados en el principio de valor relativo, en los que el cero estaba representado mediante un surco o línea vacío, o por una posición vacía dentro de la línea o surco. Pese a lo cual, cuando estas mismas gentes tenían que calcular sin auxilios mecánicos, utilizaban incómodos sistemas de notación, no inspirados en el valor relativo de las cifras según su posición, y carentes de notación para el cero. Como dice Menninger, hizo falta mucho tiempo para caer en la cuenta de que sin disponer de un símbolo que exprese el hecho de estar vacío uno de los lugares del número es imposible consignar eficientemente números por escrito. Tal vez la principal razón de que varias culturas sufrieran tan curioso bloqueo mental fuese la dificultad de lograr papiros o pergaminos. Dado que los cálculos se realizaban casi exclusivamente con ábacos, no había gran necesidad de disponer de notaciones escritas eficientes. El italiano Leonardo de Pisa, más conocido por Fibonacci (v.), fue quien introdujo en Europa la notación indoarábiga, en 1202. Se produjo entonces una cáustica polémica entre los «abaquistas», aferrados a la notación romana para consignar los resultados de sus cálculos, realizados mediante ábacos, y los «algoristas», que desecharon de raíz la notación romana, sustituyéndola enteramente por la muy superior notación indo-arábiga. El vocablo «algorista» procede del nombre de un autor árabe del siglo noveno, al-Khowarizmi (v.), y es antepasado del moderno «algoritmo». (En la Figura vemos un abaquista compitiendo con un algorista. La lámina pertenece a un libro del siglo XVI, Margarita Philosophica.) En algunos lugares de Europa el cálculo por «algorismo» llegó a quedar formalmente prohibido por la ley, y tenía que realizarse en secreto. Hubo oposición incluso en algunos países de influencia árabe. La nueva notación no llegó a imponerse por completo hasta el siglo XVI, cuando pudo disponerse de papel en abundancia. Poco después, la imprenta se encargó de normalizar las formas de los diez guarismos. El ábaco fue cayendo gradualmente en desuso en Europa e Inglaterra. Todavía hoy sobreviven algunas reminiscencias, en las cuentas de colores de corralitos infantiles, como ayudas en la enseñanza de la notación decimal en los primeros niveles escolares, o para no perder la cuenta, como en los rosarios o los tableros de puntuación de los billares. En cierto modo, es una lástima que así haya sucedido, porque en estos últimos siglos el cálculo con ábaco ha llegado a convertirse en un verdadero arte en los países de Extremo Oriente y en Rusia. Al manejar el ábaco, el calculista experimenta sensaciones múltiples. Ve deslizarse las cuentas, las oye entrechocar, las palpa, todo a un tiempo. Y, desde luego, ninguna calculadora digital puede ofrecer una fiabilidad tan grande en proporción al mínimo costo de adquisición y mantenimiento del ábaco.

Hay en nuestros días tres tipos de ábaco en uso constante. El «suan pan» chino, también usado en Corea, está formado por cuentas parecidas a rosquillas pequeñas, que se deslizan sin apenas rozamiento a lo largo de varillas de bambú. Cada vástago porta cinco cuentas (unos) por debajo de la barra, y dos más (cincos) por encima. El ideograma chino suan, «calcular», ha sido tomado del libro de Menninger; vemos en él un ábaco sostenido por debajo por el ideograma correspondiente a «manos», y adornado por arriba con el símbolo «bambú». Se ignora el origen del suan pan. En el siglo XVI se disponía ya de descripciones precisas, pero sin duda el instrumento tiene varios siglos más de antigüedad.

El origen del «soroban» japonés puede remontarse también al siglo XVI, época en que probablemente fue traido de China. Sus cuentas tienen filos vivos; son como dos conos pegados por sus bases. Cada varilla tiene solamente una cuenta por encima de la barra, en la región que los japoneses llaman «cielo», y otras cuatro más por debajo, en la «tierra». (Antiguamente, el instrumento tenía cinco cuentas en la parte inferior de las varillas, lo mismo que su análogo chino, pero la quinta cuenta fue eliminada hacia 1920. Las dos cuentas extra del suan pan no son esenciales en el cálculo moderno, y suprimiéndolas se logra un instrumento más sencillo.) Todavía hoy se celebran anualmente en Japón concursos de cálculo con ábaco, y el soroban sigue utilizándose en tiendas y pequeños negocios, si bien los bancos y empresas grandes lo han sustituido por modernas calculadoras de mesa. No han faltado ocasiones de encuentros y justas entre abaquistas japoneses o chinos enfrentados a operadores occidentales de máquinas de cálculo digital. Quizá la ocasión más sonada fue en 1946, en Tokio, cuando el soldado Thornas Wood quedó empatado con Kiyoshi Matsuzaki. El abaquista fue siempre más rápido en todos los cálculos, excepto al multiplicar números muy grandes. Una de las razones que explican la gran velocidad de los abaquistas orientales, es preciso admitirlo, es que ejecutan mentalmente gran parte del trabajo, sirviéndose del ábaco sobre todo para registrar etapas del proceso. El principal defecto del cálculo con ábacos es la imposibilidad de guardar registro de los cálculos anteriores. De cometerse un error es preciso rehacer el cálculo completo. Para evitarlo, las firmas japonesas solían hacer que tres calculistas resolvieran simultáneamente el mismo problema. El «s'choty» usado en Rusia difiere considerablemente de los ábacos orientales. Probablemente los rusos llegaron a conocerlo a través de los árabes; todavía es empleado en ciertas regiones de la India y del Oriente Medio, donde los turcos lo llaman coulba, y los armenios, choreb. En la Rusia moderna, la situación es casi idéntica a la japonesa: casi todos los tenderos y pequeños comerciantes utilizan ábacos, mientras que en los departamentos de contabilidad de las empresas importantes han sido reemplazados por modernos ordenadores y calculadoras. El s'choty está formado por varillas o alambres horizontales, que casi siempre contienen diez cuentas; las dos cuentas centrales son de distinto color para indicar por dónde deben separarse. Las varillas de cuatro cuentas que vemos en la ilustración se usan para fracciones de rublo o kopeck.

Abel

El matemático Niels Henrik Abel (1802-1829) era noruego. Estaba orgulloso de ello (firmaba todos sus escritos como N. H. Abel, noruego), pero también era para él una carga. A principios del siglo XIX Cristianía (actualmente Oslo) estaba muy apartada de los ambientes matemáticos y científicos europeos que se concentraban en París y Berlín. Hijo de un pastor protestante, destacó desde niño en las matemáticas. Siendo aún muy joven empezó a estudiar la solución de la ecuación de quinto grado. Pronto cambió de orientación y trató de demostrar, precisamente, la imposibilidad de resolver esas ecuaciones con métodos algebraicos. Lo logró cuando contaba 24 años. Tuvo que luchar contra la penuria económica (él mismo tenía que pagar la edición de sus obras) y contra la incomprensión de otros grandes matemáticos. A pesar de todo se fue abriendo camino hasta lograr que la prestigiosa universidad de Berlín le ofreciera un puesto de profesor. Por desgracia, la oferta llegó demasiado tarde. Abel había muerto dos días antes, el 6 de abril de 1829, en Noruega, víctima de la tuberculosis. Tenía sólo veintiseis años.

Ajedrez

Una antiquísima leyenda cuenta que Sheram, príncipe de la india, quedó tan maravillado cuando conoció el juego del ajedrez, que quiso recompensar generosamente a Sessa, el inventor de aquel entretenimiento. Le dijo: "Pídeme lo que quieras". Sessa le respondió: "Soberano, manda que me entreguen un grano de trigo por la primera casilla del tablero, dos por la segunda, cuatro por la tercera, ocho por la cuarta, y así sucesivamente hasta la casilla 64".

El príncipe no pudo complacerle, porque el resultado de esa operación S = 1 + 2 + 4 + ... + 263 es aproximadamente 18 trillones de granos. Para obtenerlos habría que sembrar la Tierra entera 65 veces.

Pulula por los círculos matemáticos un sorprendente final de la historia. Sheram, preocupado al haber empeñado su palabra, mandó llamar al matemático del reino, un tal Pepe Martínez Aroza, el cual razonó de la siguiente manera:

"Alteza, puesto que no tenéis trigo suficiente para pagar la deuda contraida con Sessa, igual os daría deberle aún más. Sed, pues, magnánimo y aumentad vuestra recompensa a la cantidad S = 1 + 2 + 4 + 8 + ... hasta el infinito. Observad que, a partir de la segunda casilla, todas las cantidades a sumar son pares, lo cual nos permite escribir S = 1 + 2 × ( 1 + 2 + 4 + 8 + ... ), o lo que es lo mismo, S = 1 + 2 × S. Ahora, vos mismo podéis resolver esta sencilla ecuación de primer grado y, veréis que la única solución es S = -1. Podéis decir a Sessa que no solamente puede considerarse pagado con creces, ya que habéis aumentado enormemente vuestra recompensa, sino que actualmente os adeuda un grano de trigo."

Alhambra

El contacto y las relaciones que los árabes establecieron con pueblos y regiones que eran o habían sido centros de grandes culturas, unido a ciertos factores aportados por el propio Islam como la tolerancia respecto de algunos pueblos conquistados y la atmósfera de libre discusión y de libertad de opinión, así como la existencia de numerosas cortes islámicas que protegían y favorecían los estudios científicos, contribuyó a que a finales del siglo VIII el mundo islámico se encontrara en posesión de todos los elementos necesarios para el desarrollo de una gran cultura científica, que alcanzó el máximo esplendor en los siglos IX, X y XI. Como ejemplo podemos señalar los conceptos matemáticos que aparecen en la ornamentación de la Alhambra de Granada.

Todos estamos familiarizados con los motivos ornamentales geométricos usados en la decoración de paredes y techos. Los palacios orientales contienen una gran abundancia de éstos. Nosotros tenemos del mismo modo los mosaicos o teselaciones simétricas del plano euclídeo. Aunque podemos imaginar o incluso crear muchos; si nuestro propósito es conocer el grupo de simetrías de los mosaicos y si queremos conocer el grupo formado por las isometrías planas que los dejan invariantes, las reglas por las que se rigen son bastante restrictivas. Desde este punto de vista E. Fedorov a finales del siglo pasado y por otra parte G. Polya a comienzos del actual probaron que dentro de la teoría de grupos finitos hay exactamente 17 grupos posibles. Cada uno de éstos permite la división del plano en celdas congruentes que, agrupadas y coloreadas convenientemente, dieron lugar a los mosaicos clásicos y sirvieron al holandés M. C. Escher (1898-1972) de inspiración para sus famosos grabados, los cuales son tan interesantes desde el punto de vista artístico como del matemático.

Durante mucho tiempo se creyó que en la ornamentación de la Alhambra de Granada sólo se encontraban 13 de estos grupos. Como señala J. M. Montesinos (1987) no es dificil obtener 16. El mérito del descubrimiento del que faltaba es de J. M. Montesinos y de R. Pérez Gómez, (Pérez Gómez, 1987). Mosaicos de estos tipos aparecen también en muchos otros lugares de la geografía española. Ello nos da idea del conocimiento empírico que los maestros de la ornamentación tenían de las matemáticas. A pesar de que no habían desarrollado la teoría de los grupos finitos, los conocían y los utilizaban.

Al-Khowarizmi

(léase Al-juarizmi) (780-850) Matemático y astrónomo miembro de la "Casa de la sabiduría" fundada en Bagdad, la ciudad de las Mil y una noches, por el califa Al-Mamun (809-833), en la que trabajaron sabios judíos y cristianos procedentes de Siria, Irán y Mesopotamia. Escribió varios libros de astronomía, uno de álgebra y otro sobre aritmética (traducidos al latín en el s. IX por Adelardo de Bath y Roberto de Chester), en el que hace una exposición exhaustiva del sistema de numeración hindú. Este sistema se empezó a conocer como «el de Al-Khowarizmi» y, por las deformaciones que tuvo, bien por transmisión o por traducción, llegó a la palabra «algorismi», «algorismo» o «algoritmo». Actualmente el término algoritmo significa procedimientos operativos que permiten resolver cualquier problema de un determinado tipo. Sin duda se debe a Al-Khowarizmi el hecho de que la palabra algoritmo se haya convertido en palabra de uso común en todos los idiomas, especialmente en el campo de las matemáticas y de la informática.

La resolución de la ecuación de segundo grado aparece en los trabajos de Al-Jwarizmi utilizando un método geométrico cuyo fundamento es la formación de cuadrados. En esencia coincide con el actual método general. La ecuación resuelta gráficamente por Al-Jwarizmi fue x2 + 10x = 39. El proceso es complicado, pero el esfuerzo compensa, ya que se consigue una fórmula que da x en función de los coeficientes a, b y c, y que es la que se utiliza en la práctica.

Anaxágoras

Planteó el problema de la cuadratura del círculo (v.).

Anaximandro

Natural de Mileto, compañero o discípulo de Thales (v.), matemático, astrónomo, geógrafo y político, iniciador de la astronomía griega, es el que establece una verdadera cosmología desprovista de elementos míticos. No se pregunta qué son las cosas, sino de dónde proceden. Al igual que Thales, señala el orígen de los seres en el fango o cieno primitivo, de donde salen por la acción de los rayos solares.

Aparato de Galton

(v. Galton)

Apolonio

Apolonio de Pérgamo (s. III-II a.C.), geómetra griego, estudió por primera vez las cónicas.

Aquiles

(v. Zenón)

Aristarco de Samos

Astrónomo griego (s. III a.C.) llegó a proponer el sistema heliocéntrico, donde todos los planetas giraban alrededor del Sol, pero su tratado se ha perdido, y solamente se tienen referencias de él a través de comentarios de Arquímedes.

Aristóteles

En París (~1210) se prohibió la lectura pública o privada de sus obras.

Arquímedes de Siracusa (287-212 aC)

Arquímedes puede ser considerado como el más grande de los matemáticos de la antigüedad. Pasó casi toda su vida en su ciudad natal de Siracusa, aunque se sabe que visitó Egipto al menos en una ocasión. La fama de Arquímedes se basa, fundamentalmente, en sus numerosos descubrimientos matemáticos. Halló, por ejemplo, un valor aproximado de Pi con un error muy pequeño. Calculó volúmenes y áreas, algunos muy difíciles, entre ellos el volumen de la esfera. Demostró el siguiente resultado fundamental del que se sentía particularmente orgulloso: «Los volúmenes de un cono, de una semiesfera y de un cilindro, todos de la misma altura y radio, se encuentran en la razón 1:2:3». Considerado este teorema con la perspectiva que nos da la Historia, era verdaderamente un resultado excepcional para la época. La pureza de su matemática en las obras De la esfera y del cilindro, De los conoídes y esferoides, De las espirales y la originalidad de sus nuevas ideas (método de exhausción, cuadratura del segmento de parábola), en las que se puede ver el germen del cálculo infinitesimal de Newton y Leibniz, se unen y se complementan armoniosamente con sus trabajos sobre estática e hidrodinámica, poniendo de manifiesto cómo las dos matemáticas (la pura y la aplicada) se complementan mutuamente, de manera que cada una actúa como estímulo y ayuda para la otra, y forman en conjunto una única y bien definida línea de pensamiento.

Arquímedes fue además un genio de la mecánica. Entre sus inventos más célebres se encuentra el tornillo de Arquímedes, utilizado en muchos países, entre ellos, España, para extraer agua de los pozos. Construyó también planetarios que, pese a la lejanía en el tiempo, eran tan populares como lo son en la actualidad.

Sin embargo, no fueron sólo los inventos «pacíficos» los que dieron a Arquímedes su gran fama en la antigüedad, sino también su contribución a la defensa de Siracusa contra los romanos. Este septuagenario matemático había dotado al ejercito de dicha ciudad de armas muy modernas, las cuales causaron el desconcierto total entre los soldados romanos. Los historiadores de la época no describen los espejos ustorios, pero sí lo hacen los posteriores. Fueron mencionados por primera vez por Galeno (129-199). Si realmente existieron, debió tratarse de alguna especie de espejo parabólico. Según cuenta la leyenda, durante el asedio de la tropas romanas a Siracusa (213-212 aC) fueron capaces de concentrar los rayos de sol en una zona muy reducida y de esta forma, dirigidos hacia la armada romana, provocaron el incendio de las naves. Arquímedes los situó de forma que los rayos del sol llegaran paralelos al eje y que, una vez concentrados, apuntaran a las velas de los barcos enemigos. Muy pronto los romanos vieron, atónitos, cómo las velas de sus barcos ardían como por arte de magia. El ejercito de Siracusa fue así capaz de destruir la armada de los invasores.

Se sabe que es matemáticamente posible la construcción de tales artefactos (v. Parábola). Experimentalmente, se ha demostrado que la leyenda es creíble, como probó en 1747 un naturalista francés, el conde de Buffon. Sin embargo, Siracusa cayó en manos romanas a causa de una traición y Arquímedes fue asesinado. Marcelo, a modo de desagravio, mandó erigir para Arquímedes una tumba sobre la cual se veía una esfera circunscrita por un cilindro que simbolizaba, de acuerdo con sus deseos, su teorema favorito sobre los volúmenes del cono, el cilindro y la esfera. Cuando Cicerón visitó Sicilia pudo ver todavía el monumento que se ha perdido para la historia.

Aunque no de una manera explícita, Arquímedes sí ha contribuido a la aplicación de las matemáticas. En efecto, en el Equilíbrio, trataba el problema de la palanca, que, junto a la cuña, el plano inclinado, el rodillo y la polea, componía la colección de las sencillas máquinas utilizadas en la antigüedad para construcciones tan asombrosas como las pirámides de Egipto, los templos griegos y los acueductos romanos. Se sirvió libremente de la noción de baricentro o centro de gravedad de un cuerpo como si la conociese y le fuese familiar. Casi veinte siglos más tarde, S. Stevin y Galileo Galilei construyen la teoría de la estática; esto es, una teoría del equilibrio para complicados sistemas mecánicos.

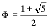
Áurea, Razón

Pitágoras y sus seguidores formaban una una especie de escuela o comunidad. Para ellos, el número cinco tenía un atractivo especial: su símbolo era una estrella de cinco puntas y les interesaba especialmente la figura del pentágono. En el pentágono hallaron el número , llamado número áureo (de oro). Es un número irracional que refleja la relación entre el lado de un pentágono y su diagonal. Su valor es , o aproximadamente 1,6180339887....

Las llamadas proporciones áureas, 1: han sido consideradas perfectas por los artistas desde la Antigua Grecia hasta nuestros días.

Un rectángulo con las proporciones perfectas tiene la particularidad de que si se quita un cuadrado de 1×1, la parte restante vuelve a tener las proporciones perfectas.

Los constructores del Partenón de Atenas (y los de muchos otros templos y edificios) tuvieron muy en cuenta la proporción áurea. La relación entre la altura y la anchura de su fachada es precisamente . Y lo mismo sucede con muchos objetos cotidianos: tarjetas de crédito, carnés de identidad, las cajas de los casetes...

Aurillac

Cuando la altura que se pretende medir tiene el pie inaccesible, el procedimiento fue modificado por Gerberto de Aurillac (930-1003). Viajó a la España musulmana.