Tema 8

Economía de los recursos renovables. Enfoque estático

1. La curva logística

Preliminares. Clasificación de los recursos naturales

Antes de pasar a estudiar este modelo de la curva logística es necesario hacer una doble clasificación de los recursos naturales.

Sin embargo un recurso natural puede ser:

Nos vamos a interesar en este curso sólo por los recursos agotables. Por los renovables, en los temas, 8 y 9, y por los no renovables, en el tema 10. No consideramos, por el momento, los recursos no agotables, como la energía solar o eólica.

La curva logística como modelo de nivel de existencias de un recurso renovable

La curva logística (CL) es un modelo biológico en el que le nivel de existencias de un recurso natural renovable (RR), con capacidad de reproducirse, viene dado exclusivamente en función del tiempo. Describe, por tanto, la historia del volumen de existencias del recurso.

Las existencias, X, (o biomasa) pueden aumentar, pero nunca por encima del nivel de sustentación del ecosistema, que llamaremos 'K'. La explotación del recurso puede aprovechar el incremento de X, pero si el recurso es sobreexplotado puede llegar a desaparecer. Es decir, estamos considerando que el recurso es agotable.

La sobreexplotación consiste en mantener de forma continuada el ritmo de extracción, 'H', sensiblemente por encima de dX/dt. En ese caso X llegaría a situarse por debajo de un nivel crítico de existencias (h) , lo que impediría la regeneración o reproducción del recurso que, finalmente, terminaría agotándose.

Hay otras formas de eliminar el recurso distintas de la sobreexplotación, como, por ejemplo, la destrucción de su hábitat. No consideraremos esta cuestión, ni la interdependencia entre las especies, particularmente, la relación depredador-presa. Nos limitaremos a considerar el binomio H, dX/dt. Esta simplificación nos permitirá tratar los recursos no renovables (RnR) como caso particular de los RR, aquellos en que la tasa de regeneración o reproducción es nula.

Las hipótesis del modelo de curva logística

Además de la hipótesis ya mencionada de que el volumen de existencias será siempre menor que el nivel de sustentación del ecosistema, la hipótesis fundamental de la CL es relativa al crecimiento de la biomasa. Este Es tanto mayor cuanto mayor sea el nivel de existencias y tanto menor cuanto más próximo esté el nivel de existencias a K.

Simbólicamente:

Diremos que el recursos se está explotando de forma sostenible cuando la tasa de extracción sea igual a la tasa de reproducción. Esto es, H= dX/dt

La forma explícita del modelo de curva logística

En realidad el modelo de curva logística es la hipótesis de crecimiento de la biomasa. Desde el punto de vista matemático la ecuación diferencial en que consiste esa hipótesis de crecimiento. Encontrar la forma explícita del modelo consiste en trazar la gráfica existencias / tiempo, o, lo que es lo mismo, integrar dicha ecuación diferencial.

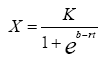
Vemos que la curva logística es siempre creciente, tiene dos asíntotas horizontales. Naturalmente esa sería la evolución del volumen de existencias del recurso cuando no estuviera siendo explotado. Una explotación sostenible (H=dx/dt) 'congelaría' el recurso en el tiempo. La sobreexplotación le haría retroceder.

A la vista de la gráfica queda claro que puestos a practicar una explotación sostenible y dejando de lado, por el momento, consideraciones en relación a costes y precios, la explotación sería óptima cuando el nivel de existencias fuera K/2, ya que en ese punto la tasa de reproducción sería máxima. En otro caso se trataría de alcanzar dicho punto denominado de máxima producción sostenible, bien mediante paro biológico relativo, bien mediante sobreexplotación relativa.

La expresión matemática dela curva logística es:

Todos estos extremos y otros de considerable interés pueden verse con claridad consultando el documento sobre la Derivación matemática de la forma explícita de la Curva Logística

Ejercicio: Ver

 

Realizar prácticas con el Banco de prácticas sobre la curva logística que puede descargarse en la sección 'Descarga'

A pesar de que este tema lleva por título 'Economía de los recursos renovables' sólo se tratarán los recursos renovables agotables, no los no agotables, como, por ejemplo, la energía eólica.

Utilice las cuestiones correspondientes a este apartado dentro de la opción 'Autoevaluación' del 'Menú del curso'

Banco de prácticas sobre la curva logística

Para todo este tema conviene seguir especialmente:
- PEARCE. D. W. Y TURNER, R. K. (1995), pp. 301-315
- ROMERO, C. (1994), pp.95-108

©Centro de Enseñanzas Virtuales de la Universidad de Granada