Antonio García Casco

[CV] · [Petrogénesis metamórfica] · [Cristalquímica básica] · [Advanced Petrology · IPGP] · [IUGS_SCMR] · [Geotermobarometría] · [Curso: Metamorfismo como herramienta geodinámica] · [Análisis de Sistemas Heterogéneos] · [CSpace] · [EPMA-SEM] · [Imágenes de RX] · [Prop Fisicoquímicas de los Magmas] · [Tutor de Petrología] · [Trabajo de Campo de Petrología] · [Glosario de Geología (RAC)] · [Restauración de Monumentos] · [Rocas y Minerales] · [Las rocas hacen ciudad, Granada] · [Grupo de Petrología Geoquim y Geocron (SGE)] · [Research Group RMN302] · [IGCP 546 Caribbean Subduction] · [TFF 2025 Cuba] · [Biblioteca Digital Cubana de Geociencias] · [Enlaces de interés] · [Notas de Prensa]

Análisis de Sistemas Heterogéneos

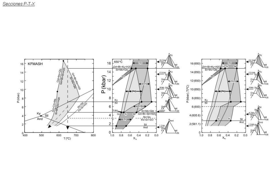
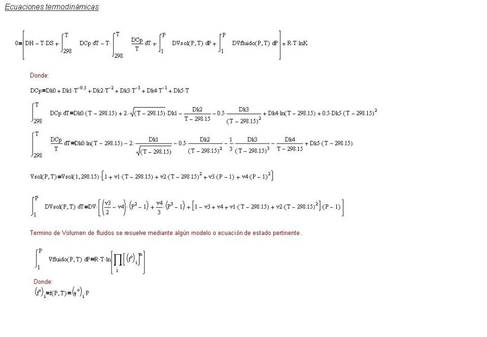
[Procedimiento General] [KFASH] [KFMASH] [KFMASH-CO2] [KNCFMASH] [KNCFMnMATiSH-CO2] [Termobarometría]

Esta parte fue un curso de doctorado que impartí hace tiempo. La metodología no está obsoleta. Los datos termodinámicos sí.


Última modificación: domingo, 05 de octubre de 2025 15:27 +0200