BREVES

Un matemático es un invento que transforma café en teoremas. (Paul Erdos)


Los símbolos algebraicos se usan cuando no sabes de qué estas hablando. (Philippe Schnoebelen)


Un topólogo es una persona que no sabe distinguir la diferencia entre la taza de café y el donut.


Excusas para no hacer los deberes de matemáticas :


Un estadístico podría meter su cabeza en un horno y sus pies en hielo, y decir que en promedio se encuentra bien.


¿Qué es un oso polar?
- Un oso rectangular, después de un cambio de coordenadas.


¿Por qué se suicidó el libro de mates?
- Porque tenía demasiados problemas.


Dos vectores se encuentran y uno le dice al otro:
- ¿Tienes un momento?


¿Qué sucede cuando n tiende a infinito?
- Que infinito se seca.


Me di cuenta de que iba a suspender las matemáticas cuando un día el profesor dijo en clase "Sea un épsilon menor que 37", y de repente todo el mundo se echó a reír.


Va ex por la calle y se le cruza un integrador, el cual, todo chulo, le dice: "¡A que te integro!" y ex le contesta: "Y a mí qué ..."


TEOREMA : todos los números enteros son interesantes.

DEMOSTRACIÓN: Supongamos que no; por tanto, existe un mínimo número entero no interesante. Este numero es, obviamente interesante, lo cual contradice el hecho de que no es interesante. Por reducción al absurdo, la suposición de que existen números no interesantes es falsa.


TEOREMA: Todos los números enteros son iguales.

DEMOSTRACIÓN: es suficiente demostrar que para todo A y B, A=B, es decir, que para todo N, si max(A,B) <= N, entonces A=B. Procedemos por inducción en N. Si N=1, el resultado es obviamente cierto, porque max(A,B) <= 1 implica que A=B=1. Si el teorema es cierto para N=k, para k+1 tenemos que si A y B son tales que max(A,B) <= k+1, entonces max(A-1,B-1) <= k; como el teorema es cierto para N=k, entonces A-1=B-1, y A=B, luego el teorema también es cierto para N=k+1.


Un ingeniero paleolítico había llegado a imaginar un carro, y quería construirlo. Pero no tenía ruedas. Entonces primero construyó un prototipo de rueda cuadrada, y cuando las puso en el carro y lo probó se dio cuenta de que el carro iba dando botes y resultaba incómodo. Empezó a pensar en la forma de resolver el problema, y llego a la conclusión de que la causa eran las esquinas de las ruedas, así que la primera solución que se le ocurrió fue la de eliminar las esquinas, pero no sabía cómo. Así que la siguiente idea fue: "Ya que no sé cómo eliminar las esquinas, al menos podría hacer que su efecto fuese menor". Entonces intentó minimizar el número de esquinas, y el siguiente prototipo de rueda fue triangular.


Dos aeronautas viajan en globo. Un fuerte viento les arrastra durante muchas horas, y se encuentran perdidos. Hacen descender su aerostato en un prado, y, sin apearse del mismo, le preguntan a la única persona que encuentran por allí:
- Perdone, buen hombre, ¿dónde nos encontramos?
El lugareño se lo piensa un rato y responde:
- En un globo.
Entonces uno de los aeronautas le dice al otro
- Vámonos de aquí a preguntarle a otro, porque éste es idiota.
- No, hombre, no es idiota. Lo que pasa es que es matemático.
- Ah, ¿sí?, ¿Y cómo lo sabes?
- Pues muy sencillo, porque le hemos hecho una pregunta bien sencilla que cualquier persona normal podría haber respondido inmediata y eficazmente; pero él lo ha pensado largamente, y al final ha dicho algo totalmente cierto, absolutamente exacto, pero que ya sabíamos, y que además no nos sirve para nada.


Un matemático pasea por el campo, sin nada que hacer, aburrido. Encuentra a un pastor que cuida un numeroso rebaño de ovejas, y decide divertirse un poco a costa del paleto.
- Buenos dias, buen pastor.
- Buenos dias tenga usted.
- Solitario oficio, el de pastor, ¿no?
- Usted es la primera persona que veo en seis días.
- Estará usted muy aburrido.
- Daría cualquier cosa por un buen entretenimiento.
- Mire, le propongo un juego. Yo le adivino el número exacto de ovejas que hay en su rebaño, y si acierto, me regala usted una. ¿Qué le parece?
- Trato hecho.
El matemático pasa su vista por encima de las cabezas del ganado, murmurando cosas, y en unos segundos anuncia:
- 586 ovejas.
El pastor, admirado, confirma que ése es el número preciso de ovejas del rebaño. Se cumple en efecto el trato acordado, y el matemático comienza a alejarse con la oveja escogida por él mismo.
- Espere un momento, señor. ¿Me permitira una oportunidad de revancha?
- Hombre, naturalmente.
Pues ¿qué le parece, que si yo le acierto su profesión, me devuelva usted la oveja?
- Pues venga.
El pastor sonrie, porque sabe que ha ganado, y sentencia:
- Usted es matemático.
- ¡Caramba! Ha acertado. Pero no acierto a comprender cómo. Cualquiera con buen ojo para los números podría haber contado sus ovejas.
- Sí, sí, pero sólo un matemático hubiera sido capaz, entre 586 ovejas, de llevarse el perro.


Si , entonces

 



Si , entonces


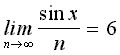
THEOREM: . PROOF: Cancel the n in the numerator and denominator.


El 97.3% de las estadísticas han sido claramente inventadas.


- Tú que eres matemático, crees en Dios ?
- Si, salvo isomorfismos.


- Que es una región compacta ?
- Aquella que puede ser vigilada por un numero finito de policías miopes.


Si usted ha entendido este artículo, no dude en ponerse en contacto conmigo, y gustosamente se lo volveré a explicar hasta que no lo entienda.


MATEMÁTICAS Y SEXO

Por qué las matemáticas son incompatibles con el sexo.


CÓMO SE PONEN LAS NOTAS


METODOS PARA CAZAR UN LEÓN


LA TESIS DOCTORAL

Un conejo estaba sentado delante de una cueva, escribiendo, cuando aparece un zorro.
- Hola, conejo, ¿qué haces ?
- Estoy escribiendo una tesis doctoral sobre cómo los conejos comen zorros.
- Ja, ja, pero ¿qué dices ?
- ¿No te lo crees? Anda, ven conmigo dentro de la cueva...
Los dos entran, y al cabo de un ratito sale el conejo con la calavera del zorro y se pone a escribir. Al rato llega un lobo.
- Hola, conejo, ¿qué haces?
- Estoy escribiendo mi tesis doctoral sobre cómo los conejos comen zorros y lobos.
- Ja, ja, qué bueno, ¡qué chiste más divertido!
- ¿Qué? ¿no te lo crees? ¡Anda, ven dentro de la cueva, que te voy a enseñar algo!
Al cabo de un rato sale el conejo con una calavera de lobo, y empieza otra vez a escribir. Después llega un oso.
- Hola, conejo, ¿que haces ?
- Estoy acabando de escribir mi tesis doctoral sobre cómo los conejos comen zorros, lobos y osos.
- No te lo crees ni tú.
- Bueno, ¿a que no te metes en la cueva conmigo?
De nuevo se meten los dos en la cueva, y como era de esperar, un león enorme se tira encima del oso y se lo come. El conejo recoge la calavera del oso, sale fuera y acaba su tesis.
Moraleja: Lo importante no es el contenido de tu tesis, sino escoger bien a tu director.


CÓMO LO HACEN LOS MATEMÁTICOS

(Difundido por Librería Pons)


­¡Papá, papá!, ¿me haces el problema de matemáticas?
-No hijo, no estaría bien.
-Bueno, inténtalo de todas formas.


¿Qué hace un matemático si le cuesta 25 pesetas mandar una carta y sólo tiene sellos de 35 y 10 pesetas?
-Pone un sello de 35 y 10 pesetas separados por un signo "menos".


¿Cómo comprobar experimentalmente que 2+2=5?
-Consigue dos cuerdas, y haz en cada una de ellas dos nudos. Ahora átalas juntas. ¿Cuántos nudos tiene el resultado?


Durante una clase de matemáticas: "...el caso complejo es el más sencillo, porque..."


Las bacterias se multiplican dividiéndose.


Está comprobado mas allá de toda duda que el fumar es la causa principal de las estadísticas.


Los agujeros negros son esos puntos donde Dios se ha equivocado y ha dividido por cero.


El descendiente de Constantino I el Grande

Se cuenta que un presuntuoso iba diciéndole a todo el mundo que era descendiente directo de Constantino I el Grande. Hasta que un día se

lo contó a un matemático. Éste, después de escuchar atentamente las historias del supuesto descendiente del gran emperador, le dijo:

"Usted tiene dos padres, y cada uno de ellos, otros dos, y así sucesivamente. Teniendo en cuenta que nos separan unas sesenta generaciones de su ilustrísimo pariente, resulta que usted ha tenido, desde entonces, más de dos trillones de antepasados. Uno de ellos es Constantino el Grande. Me parece a mí que poco le toca de tan importante señor".