Traducido del inglés por Augusto Aguilar Calahorro
| |
![]()
En los últimos 30 años las migraciones han emergido con mayor fuerza en todo el mundo. En las sociedades receptoras tradicionales como Australia, Canadá y Estados Unidos, el volumen de inmigración ha crecido y su composición se ha desviado desde la fuente dominante históricamente —Europa— hacia Asia, África y América Latina. En Europa, mientras tanto, países que durante siglos habían enviado emigrantes se transformaron, de repente, en sociedades receptoras de inmigrantes. Después de 1945, prácticamente todos los países del oeste europeo empezaron a atraer un significativo número de trabajadores extranjeros. Aunque la emigración en un primer momento era absorbida de los Estados europeos meridionales, a finales de los sesenta su proveniencia mayoritaria fueron los países en vías de desarrollo de África, Asia, el Caribe y Oriente Medio.
En los años ochenta incluso países del sur de Europa — Italia, España y Portugal— que sólo una década antes habían enviado emigrantes hacia países ricos del norte, comienzan a importar trabajadores de África, Asia y Oriente medio. A la vez, Japón — con su baja y aun decadente tasa de nacimientos, su envejecida población, y su alto nivel de vida— tuvo que recurrir a la acrecentada inmigración de los países más pobres de Asia, e incluso de Suramérica, para satisfacer sus necesidades de mano de obra.
La mayoría de los países desarrollados del mundo se han transformado en sociedades multiétnicas, y aquellas que aún no han alcanzado tal carácter se mueven decididamente en esta dirección. El surgimiento de la migración internacional como un rasgo estructural básico de casi todos los Estados industrializados da testimonio de la solidez y coherencia de las fuerzas subyacentes. Aún, la base teórica para entender estas fuerzas es bastante débil. El reciente «boom» migratorio ha cogido desprevenidos tanto a los ciudadanos como a los dirigentes y demógrafos, y el pensamiento popular cuando trata con la migración internacional permanece atascado en los conceptos, modelos y suposiciones del siglo diecinueve.
Actualmente no hay una teoría coherente única de migración internacional, sino sólo un conjunto de teorías fragmentadas que han sido desarrolladas de forma aislada entre sí y a veces, pero no siempre, segmentadas por los límites propios de cada disciplina. Los modelos y tendencias en inmigración, sin embargo, sugieren que una comprensión plena de los procesos migratorios internacionales no puede basarse sólo en las herramientas de una única disciplina, o en el enfoque en un solo nivel de análisis. Por el contrario, su naturaleza compleja y multifacética requiere de una sofisticada teoría que incorpore una variedad de supuestos, niveles y perspectivas.
El propósito de este artículo es explicar e integrar las principales teorías contemporáneas en migración internacional. Comenzaremos examinando los modelos que describen la iniciación del movimiento internacional y entonces consideraremos las teorías que dan cuenta del por qué los flujos internacionales han persistido a lo largo del espacio y del tiempo. Antes que favorecer a priori una teoría sobre cualquier otra, buscamos entender cada modelo en sus propios términos para iluminar asuntos e hipótesis clave. Sólo después de haber considerado separadamente cada teoría compararemos y contrastaremos los diferentes marcos conceptuales para revelar las áreas de inconsistencias lógicas y desacuerdos sustantivos. Asumiendo este ejercicio, pretendemos facilitar las bases para evaluar los modelos empíricamente, y suministrar unos cimientos desde los que construir una teoría comprensible y certera de migración internacional para el siglo veinte.
Se ha propuesto una amplia variedad de modelos teóricos para explicar el por qué de los inicios de la migración internacional, y a pesar de que cada uno de ellos trata de explicar en última instancia la misma cosa, emplean posturas, conceptos y marcos de referencia radicalmente diferentes. Un «enfoque económico neoclásico» sobre las diferencias de salario y las condiciones de trabajo entre Estados, así como sobre costes de migración, concibe generalmente estos movimientos como decisiones individuales que tratan de maximizar los ingresos personales. El enfoque de la «nueva teoría económica de migración», en contraste, considera las condiciones de una diversidad de mercados, y no sólo aquellas del mercado de trabajo. Este último entiende la migración como una decisión de tipo familiar tomada para minimizar los riesgos sobre los ingresos familiares o para reducir las restricciones de capital en la actividad productiva familiar. La «teoría del mercado laboral dual» o la «teoría de los sistemas mundiales» generalmente ignoran los procesos de decisión en el nivel microeconómico, centrándose en las fuerzas operativas en niveles mucho mayores de agregación. El primero liga la inmigración a las necesidades estructurales de las economías industrializadas modernas, mientras que el segundo observa la inmigración como una consecuencia natural de la globalización económica y de la expansión del mercado más allá de los límites nacionales.
Asumir el hecho de que tales teorías conceptualizan los procesos causales en tan diversos niveles de análisis —el individual, el familiar, el nacional y el internacional— no significa asumir, a priori, que sean inherentemente incompatibles. Es bastante posible, por ejemplo, que mientras determinados actos individuales maximizan los ingresos, las familias traten de minimizar riesgos, y que el contexto en el que se toman ambas decisiones esté conformado por fuerzas estructurales que operen en el nivel nacional e internacional. No obstante, los distintos modelos reflejan diferentes enfoques, objetivos e intereses investigadores, así como distintas formas de descomponer un sujeto enormemente complejo en partes analíticamente manejables; y unas bases firmes para el juicio de su consistencia requieren que la lógica interna, proposiciones, razonamientos e hipótesis de cada teoría sean claramente especificadas y bien entendidas.
Probablemente la teoría de migración internacional más antigua y mejor conocida fue desarrollada originalmente para explicar la migración laboral en los procesos de desarrollo económico (Lewis, 1954; Ranis y Fei, 1961, Harris y Todaro, 1970: Todaro, 1976). De acuerdo con esta teoría y sus términos, la migración internacional, así como su equivalente nacional, trae causa de las diferencias geográficas en la oferta y demanda de mano de obra. Los Estados con una amplia demanda de trabajo en relación al capital tienen un equilibrio salarial bajo, mientras que los Estados con una dotación laboral limitada respecto al capital se caracterizan por salarios de mercado altos, como se expresa gráficamente en la interacción entre la oferta de trabajo y la curva de la demanda. Las diferencias salariales resultantes provocan el desplazamiento de los trabajadores desde los países de salarios bajos hacia aquellos de salarios altos. Como resultado de este desplazamiento la demanda de trabajo decrece y los salarios aumentan en los países pobres, mientras que la demanda de trabajo se incrementa y los salarios caen en los países ricos, conduciendo, en equilibrio, a una diferencia salarial internacional que sólo refleja los costes pecuniarios y psíquicos del desplazamiento internacional.
El reflejo del movimiento de trabajadores desde los países con excedentes de mano de obra hacia los lugares con escasez es un flujo de inversión de capital desde los países ricos a los países pobres. La relativa escasez de capital en los países pobres produce un índice de beneficios alto en comparación con el estándar internacional, y por este motivo atrae la inversión. Los movimientos de capital también incluyen capital humano, con trabajadores altamente cualificados que se desplazan desde los países ricos a los pobres con la intención de obtener beneficios respecto a su cualificación en un medio donde escasea el capital humano, lo que conduce a un desplazamiento paralelo de gerentes, técnicos y todo tipo de trabajadores especializados. El flujo internacional de mano de obra debe distinguirse conceptualmente del flujo de capital humano, concepto asociado al mismo. Incluso en los mayores modelos macroeconómicos agregados, la heterogeneidad de los inmigrantes según sus niveles de cualificación debe ser claramente reconocida. La sencilla y convincente explicación sobre migración internacional ofrecida por el modelo macroeconómico neoclásico ha marcado profundamente el pensamiento público y ha proporcionado las bases intelectuales para muchas de las políticas de inmigración. Esta perspectiva contiene varias proposiciones y asunciones implícitas:
1. La migración internacional de trabajadores es causada por diferencias salariales entre países.
2. La eliminación de tales diferencias salariales terminará con el movimiento de trabajadores, la migración no acontecerá ante la ausencia de tales diferencias.
3. Los flujos internacionales de capital humano —es decir, de trabajadores altamente cualificados— responden a las diferencias entre índices de beneficios de capital humano, que puede ser diferente del conjunto del índice salarial, provocando distintos patrones de migración opuestos a aquellos de los trabajadores no cualificados
4. Los mercados de trabajo son mecanismos primarios por los que los flujos internacionales de mano de obra se inducen; otro tipo de mercados no tienen efectos importantes sobre la migración internacional.
5. La forma en que los gobiernos pueden controlar los flujos migratorios es a través de la regulación o influencia en los mercados de trabajo en los países emisores o receptores.
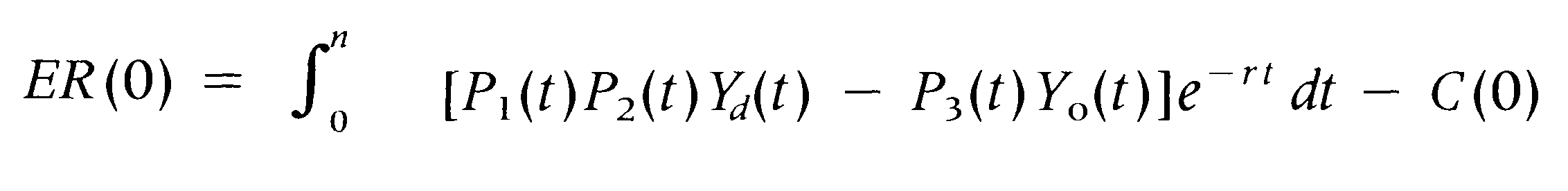
Junto al modelo macroeconómico existe un modelo microeconómico de elección individual (Sjaastad, 1962; Todaro, 1969, 1976, 1989; Todaro y Maruszko, 1987). En este plano, los actores individuales racionales deciden sus desplazamientos migratorios mediante un cálculo del coste-beneficio que los conduce a expectativas de un beneficio neto positivo, normalmente monetario, del desplazamiento. La migración internacional se conceptualiza como una forma de inversión de capital humano. La gente elige moverse a aquellos lugares donde creen van a ser más productivos, dada su cualificación; pero antes de que puedan adquirir el plus salarial asociado a la fantástica productividad laboral deben realizar ciertas inversiones, que incluyen los costes materiales del traslado, el coste de mantenimiento mientras se trasladan y buscan trabajo, los esfuerzos que conlleva aprender una nueva lengua y cultura, la difícil experiencia de adaptarse a un nuevo mercado de trabajo y los costes psicológicos de cortar viejos lazos y forjar otros nuevos. El migrante potencial estima los costes y beneficios del traslado a localizaciones internacionales alternativas y se reubica donde las expectativas del beneficio neto sean mayores en la perspectiva del tiempo (Borjas, 1990). Los beneficios netos en un periodo se estiman tomando las ganancias correspondientes a la cualificación del individuo en el país de destino y multiplicándolas por las probabilidades de encontrar un trabajo allí (y para los migrantes no legales la posibilidad de evitar la deportación) para obtener la “expectativa de ganancia de destino”.
Estas expectativas de ganancia se sustraen de aquellas expectativas de la comunidad de origen (las ganancias de allí multiplicadas por la probabilidad de empleo) y la diferencia se suma a una perspectiva temporal de 0 a n, descontada por un factor que refleja la mayor utilidad del dinero ganado en el presente que en el futuro.
Este proceso de decisión se expresa analíticamente por la siguiente ecuación:

Donde ER(0) es la perspectiva de beneficio neto de la migración calculada justo antes de la partida en el momento 0; t es el tiempo; P1(t) es la probabilidad de evitar la deportación desde el área de destino (1.0 para los migrantes legales y <1.0 para los migrantes indocumentados) es la probabilidad de empleo en el destino; Yd(t) es el salario si estaba empleado en el lugar de destino; P3(t) es la probabilidad de empleo en la comunidad de origen; Y0(t) es el salario o ganancias si se emplea en la comunidad de origen; r es el factor descuento; y C(0) es la suma total de los costes de traslado (incluyendo costes psicológicos).
Si la cantidad ER(0) es positiva para algunos destinos potenciales, el actor racional emigra; si es negativa el actor permanece en su localidad; y si es cero el actor se muestra indiferente entre el traslado y la permanencia. En teoría, un emigrante potencial va donde la expectativa de beneficio neto es mayor, lo que nos conduce a varias conclusiones importantes que difieren ligeramente de la anterior formulación macroeconómica:
1. Los movimientos internacionales radican en las diferencias internacionales tanto en los índices salariales como en los de empleo; cuyo producto determina las expectativas de beneficios (el primer modelo, por el contrario, asumía el pleno empleo).
2. Las características del capital humano individual que incrementa el probable índice salarial o la probabilidad de empleo en destino en relación al país de origen (v.g. educación, experiencia, capacitación, conocimiento de idiomas) incrementará las probabilidades del desplazamiento internacional, manteniéndose todo lo demás constante.
3. Las características individuales, condiciones sociales, o tecnológicas que reducen el coste de desplazamiento incrementan los beneficios netos a la migración y, por consiguiente, aumentan la probabilidad de movimientos internacionales.
4. A causa del punto segundo y tercero, los individuos dentro del mismo país pueden desplegar inclinaciones a la migración muy heterogéneas.
5. Los flujos migratorios agregados entre países son simples sumas de movimientos individuales entendidas sobre la base de cálculos individuales de coste-beneficio.
6. El movimiento internacional no aparece ante la ausencia de diferencias entre tasas de ganancia y/o empleo entre países. La migración continuará hasta que las expectativas de beneficio (el producto entre el índice de ganancia y el de empleo) sean equiparadas internacionalmente (el resultado de los costes de desplazamiento), y los desplazamientos no se detendrán hasta que este producto haya sido igualado.
7. La magnitud de las diferencias entre expectativas de beneficios determina el volumen de flujo migratorio internacional entre países.
8. La decisión de migrar radica en los desequilibrios o discontinuidades entre mercados de trabajo; otro tipo de mercados no influyen directamente en la decisión migratoria.
9. Si las condiciones en los países receptores son psicológicamente atractivas para las expectativas de la inmigración, el coste de migración puede ser negativo. En este caso, una diferencia de ganancia negativa puede ser necesaria para detener la migración entre países.
10. Los Gobiernos controlan la inmigración principalmente a través de políticas que afectan a la expectativa de ganancias en los países de origen o/y de destino —por ejemplo, aquellos que tratan de reducir la probabilidad de empleo o incrementar el riesgo de desempleo en el área de destino (a través de permisos de trabajo), aquellos que tratan de aumentar las rentas en el origen (a través de programas de desarrollo a largo plazo), o aquellos cuyo objetivo es incrementar los costes (tanto psicológicos como materiales) de la migración.
Recientemente, una “nueva economía de la migración” ha surgido para cuestionar muchas de las asunciones y conclusiones de la teoría neoclásica (Stark y Bloom, 1985). La clave de la perspicacia de esta aproximación es el fundamento de que las decisiones de la migración no se determinan por decisiones de carácter individual, si no por unidades más amplias de lazos parentales – típicamente familias u hogares— en los que los individuos actúan colectivamente no sólo para maximizar las expectativas de renta, sino también para minimizar riesgos y rebajar las constricciones asociadas a las insuficiencias de una variedad de mercados, distintos al mercado de trabajo (Stark y Levhari, 1982; Stark, 1984; Katz y Stark, 1986; Lauby y Stark, 1988; Taylor, 1986; Stark, 1991).
Distintamente a los individuos, los hogares se encuentran en una posición que les permite controlar los riesgos para el bienestar de sus economías diversificando las cuotas de los recursos familiares, tales como el trabajo familiar. Mientras que a algunos miembros de la familia les son asignadas actividades económicas locales, otros pueden ser enviados a trabajar a mercados laborales extranjeros donde los salarios y condiciones de empleo están negativa o débilmente correlacionadas con aquellas del área local. En el caso en el que las condiciones económicas locales se deterioren y las actividades de allí no consigan alcanzar un nivel de ingresos adecuado, el hogar puede contar con los miembros emigrados para mantenerse.
En países desarrollados, los riesgos para los ingresos familiares son generalmente minimizados a través de mercados de seguros privados o programas gubernamentales, pero en los países en desarrollo estos mecanismos institucionales para controlar los riesgos o son imperfectos, o no existen, o son inaccesibles para las familias pobres, contribuyendo a incentivar a éstos a la minimización de riesgos a través de la migración. En los países desarrollados, además, los mercados de crédito están bien desarrollados para permitir a las familias financiar sus proyectos, tales como la adopción de una nueva tecnología de producción. En la mayoría de las áreas en desarrollo, en contraste, los créditos no suelen estar disponibles o son concedidos sólo a costes muy altos. Ante la carencia de un acceso público o asequible a los seguros privados, las quiebras del mercado crean fuertes presiones sobre el desplazamiento internacional, como los siguientes ejemplos demuestran.
Mercados de seguros agrarios: Siempre que una hacienda agrícola familiar emplea su tiempo y su dinero en la siembra de un cultivo, están apostando por una inversión que será amortizada en un futuro en forma de producción que puede ser vendida a cambio de dinero en efectivo para adquirir los bienes o servicios deseados, o que puede ser consumida directamente para la subsistencia familiar. Sin embargo, en el tiempo transcurrido entre que un cultivo es sembrado y recolectado, elementos humanos o naturales pueden reducir o eliminar la cosecha, dejando a la familia en una situación de insuficiencia de ingresos o de alimentos para subsistir. Asimismo, la introducción de nuevas tecnologías agrícolas (como semillas transgénicas o nuevos métodos de cultivo) pueden alterar los riesgos objetivos y/u objetivos soportados por la hacienda familiar. El uso de nuevas variedades de semillas puede incrementar la producción agrícola siempre y cuando sea explotada por un experto; pero si no es así, o su aplicación es errónea, la familia se encontrará con unas perspectivas de insuficiencia de ingresos o alimentos.
En los países desarrollados, esta suerte de riesgos objetivos y subjetivos son controlados a través de seguros agrícolas, por los que el agricultor paga una cuota a una compañía o a una agencia gubernamental para asegurar los cultivos ante futuras pérdidas. La institución aseguradora asume el riesgo de la futura producción, y si una sequía o inundación arruina la cosecha, o una nueva tecnología fracasa, éstos pagan al productor el valor de mercado de la cosecha asegurada, garantizando así el bienestar económico de la familia. Si los seguros agrícolas no estuviesen disponibles, las familias tendrán que auto-asegurarse a través del envío de uno o más trabajadores al extranjero para que remita las ganancias al hogar, de esta forma la familia garantiza su obtención de ingresos incluso si la cosecha se pierde.
Mercados de futuros: Cuando la hacienda familiar siembra un cultivo industrial, asume que el cultivo, cuando es cosechado, puede ser vendido por un precio suficiente para mantener a la familia o mejorar su bienestar. En esta apuesta, sin embargo, existe un riesgo, y es que el precio del cultivo puede caer a niveles inferiores de los esperados, dejando a la familia con unos ingresos insuficientes. En los países desarrollados, el riesgo de la variación de los precios es prevenido a través de los mercados de futuros, que permiten a los agricultores vender todo o parte de su cosecha anticipadamente a un precio garantizado. El inversor asume el riesgo que los precios cayesen por debajo del precio garantizado, y obtendría los beneficios si estos superasen este nivel. La mayoría de los países en desarrollo carecen de mercados de futuros, y si estos existen los agricultores pobres generalmente no pueden acceder a ellos. La emigración ofrece un mecanismo por el cual los agricultores domésticos pueden auto-asegurarse contra los riesgos provocados por la fluctuación de los precios.
Seguros de desempleo: Las familias no agricultoras, así como muchas haciendas familiares, dependen de los salarios de los trabajadores miembros de esa familia. Si las condiciones de la economía local se deterioran y descienden los niveles de empleo, si un miembro de la familia sufre un accidente y no puede continuar trabajando, el sustento familiar puede ser amenazado por una carencia de ingresos. En los Estados del bienestar, los gobiernos mantienen programas sociales que protegen a los trabajadores y sus familias de estos riesgos, pero en los países pobres tales programas de desempleo o de enfermedad son sólo parciales en su cobertura o simplemente no existen, con lo que incentivan a las familias a auto-asegurarse enviando trabajadores al extranjero.
Si las condiciones de empleo en los mercados de trabajo locales y extranjeros se encuentran negativamente correlacionados o son discordantes, entonces la migración internacional facilita la forma de reducir los riesgos salariales de las familias y garantiza una fiable fuente de ingresos, en forma de envío de remesas para sostener a la familia. En realidad, la migración internacional cumple esta función aseguradora se observen o no éstas remesas enviadas desde el extranjero. Los migrantes, como contratos de seguro formales, sólo tienen que pagar si las pérdidas acaban dándose. La existencia de un acuerdo de aseguración explícito o implícito, sin embargo, puede tener un efecto importante sobre la realidad económica familiar, y el deseo de adquirir esta seguridad puede ser una primera motivación para la participación de las familias en la migración internacional.
Mercados de capital: Las familias podrían desear incrementar la productividad de sus recursos, pero para hacerlo necesitarían adquirir capital para realizar inversiones adicionales. Las haciendas agrícolas familiares, por ejemplo, podrían regar sus campos, usar fertilizantes, comprar semillas desarrolladas científicamente, o adquirir maquinaria, pero les podría faltar dinero para tales aportaciones. Las familias no dedicadas a la agricultura podrían, también, invertir en la educación o la práctica de sus miembros, o en la adquisición de bienes de capital que podrían ser usados para producir otros bienes que vender en el mercado para su consumo, pero de nuevo podrían encontrarse con la falta de efectivo para cubrir tales costes. En los países desarrollados, la inversión se puede financiar a través de cajas de ahorro privadas o de préstamos, el acceso a ellos se ve enormemente asistido por sólidos y eficientes sistemas bancarios. En estos países la solicitud de un préstamo puede incluir un sistema de protección contra los riesgos en caso de que los tipos de interés varíen. Sin embargo en muchos países en desarrollo las instituciones de ahorro o son poco fiables o están infradesarrolladas, y la gente es reacia a confiarles sus ahorros.
En los países pobres la necesidad de financiación se encuentra también entorpecida por la carencia de avales que habiliten el préstamo, debido a la escasez de capital de préstamo, o a que el sistema bancario no provea de una cobertura completa, sirviendo exclusivamente a las necesidades de los más acomodados. Para las familias pobres el único acceso al préstamo lo encuentran en los prestamistas locales que imponen intereses muy altos, haciendo los costes de la transacción prohibitivos. Bajo estas circunstancias la emigración parece una atractiva fuente alternativa de financiación para mejorar la productividad y asegurar una estabilidad de consumo, y la familia encuentra así un fuerte incentivo para enviar a uno o más trabajadores al extranjero para acumular ahorros o para transferir capital en forma de envío.
Una proposición clave en la precedente discusión es que el ingreso no es un bien homogéneo, tal y como asumieron los economistas neoclásicos. La fuente del ingreso es la cuestión principal, y las familias tienen incentivos significativos para invertir los escasos recursos familiares en actividades y proyectos que puedan contribuir al acceso a nuevos recursos, incluso si tales actividades no incrementan el ingreso total.
Las nuevas teorías económicas sobre migración cuestionan también la asunción de que el ingreso tiene un efecto constante para el actor en el marco socioeconómico — es decir, que un aumento de 100 $ en los ingresos significan lo mismo para una persona existan las condiciones de la comunidad local que existan e independientemente de la posición de la persona en la distribución del ingreso. Las nuevas teorías económicas argumentan, en cambio, que las familias envían trabajadores al exterior no sólo para conseguir nuevos ingresos en términos absolutos, sino también para incrementar el ingreso «relativo» a otras familias, y por lo tanto, reducir su «relativa» privación comparada con otros grupos de referencia (ver Stark, Taylor y Yitzhaki, 1986, 1988; Stark y Taylor, 1989, 1991; Stark, 1991).
Un sentido familiar de relativa privación depende de los ingresos de que es privado en la distribución de ingresos del grupo-referencia. Si F(y) es la acumulación distributiva de los ingresos y h[ 1 – F(Y)] representa la insatisfacción sentida por una familia con los ingresos y el no tener un ingreso que sea ligeramente superior a y (vg. y + Δ), entonces la privación relativa de una familia con ingresos y puede ser expresada conceptualmente como:

Donde ymax son los ingresos más altos encontrados en la comunidad. En el simple caso donde h[1 – F(y)] = 1 – F(y), esta expresión es equivalente al producto de dos términos: la proporción de familias con ingresos superiores a y, y la diferencia media entre los ingresos superiores e y (Stark y Taylor, 1989).
Para ilustrar este concepto de ingreso relativo, consideremos un incremento en el ingreso de familias ricas. Si los ingresos de las familias pobres no se alteran, entonces su privación relativa aumenta. Si la utilidad de la familia se ve afectada negativamente por la privación relativa, entonces aunque los ingresos absolutos de una familia pobre y las expectativas de beneficios por las remesas de dinero enviadas por los emigrantes no se alteren, sus incentivos para participar de la migración internacional aumentan si, al enviar a un miembro de la familia al extranjero, puede esperarse obtener un aumento de los ingresos relativos en la comunidad. La posibilidad de migrar aumenta de este modo, a causa de los cambios en los ingresos de «otras» familias. Los fallos de mercado que restringen las oportunidades locales de adquisición de ingresos a las familias pobres pueden también incrementar el atractivo de la migración como un camino para aumentar efectivamente los ingresos relativos.
Los modelos surgidos de las “nuevas teorías económicas” proporcionan una serie de proposiciones e hipótesis que son bastante diferentes de aquellas emanadas de las teorías neoclásicas, y conducen a una serie de prescripciones políticas muy distintas:
1. Las familias, los hogares, u otras unidades culturales de producción y consumo definidas, son las unidades apropiadas para el análisis en la investigación sobre la migración, no el individuo autónomo.
2. Una diferencia salarial no es una condición necesaria para que aparezca la migración internacional; las familias, pueden tener fuertes incentivos en la diversificación de los riesgos de la que provee la migración internacional incluso cuando no haya diferencias salariales.
3. La migración interna y el empleo local o la producción local no son posibilidades que se excluyan mutuamente. De hecho, hay importantes incentivos que llevan a la familia a participar tanto de las actividades locales como de la emigración. Un crecimiento de los beneficios de las actividades económicas locales podría aumentar el atractivo de la emigración como una reducción de los riesgos y el capital invertidos en aquellas actividades. Así, el desarrollo económico en regiones de origen de migración necesita no reducir los incentivos a la migración internacional.
4. Los movimientos internacionales no se detienen necesariamente cuando las diferencias salariales son eliminadas en el interno de los límites nacionales. Los incentivos a la migración económica continúan su existencia si los otros mercados en países de origen son imperfectos, están desequilibrados o simplemente ausentes.
5. Las mismas expectativas de beneficios no tienen el mismo efecto en las probabilidades de emigrar para familias situadas en diferentes puntos de la distribución de los ingresos, o para las familias situadas en comunidades con diferentes distribuciones de ingresos.
6. Los gobiernos pueden influir en los índices de la migración no sólo a través de políticas que intervengan en el mercado de trabajo, sino también con aquellas políticas que den forma al mercado de seguros, al de capitales, y al de futuros. Los programas públicos de aseguración, particularmente los programas de desempleo, pueden afectar significativamente a los incentivos al desplazamiento internacional.
7. Las políticas gubernamentales y los cambios económicos que conforman la distribución de la renta cambiarán la privación relativa de algunas familias y así alterarán sus incentivos para migrar.
8. Las políticas gubernamentales y los cambios económicos que afectan a la distribución de las rentas influirán en la migración internacional independientemente de sus efectos en la renta media. De hecho, las políticas gubernamentales que producen unas rentas medias altas en áreas de países de origen, pueden «incrementar» la emigración si las familias “relativamente” pobres no participan de la subida del incremento de los ingresos. Inversamente, las políticas pueden reducir la emigración si los “relativamente” ricos no participan de tal aumento en la renta.
A pesar de que la teoría neoclásica del capital humano y las nuevas teorías de migración conducen a conclusiones diferentes sobre los orígenes y la naturaleza de la migración internacional, ambos son esencialmente modelos de decisión microeconómica. Lo que difiere es la unidad decisoria que asumamos (el individuo o la familia), que la entidad sea maximizada o minimizada (ingresos o riesgos), las asunciones sobre el contexto económico de la toma de decisiones (mercados completos y de buen funcionamiento frente a carencia de mercados o mercados imperfectos), y la extensión en la que la decisión de migrar es socialmente contextualizada (si los ingresos son evaluados en términos absolutos o relativos a algún grupo de referencia). Dejando las distinciones entre estos modelos de decisión racional aparte, es la teoría de la dualidad del mercado de trabajo, la que aparta la atención de las decisiones tomadas por los individuos y argumenta que la migración internacional radica en la demanda de trabajo intrínseca a las sociedades industrializadas modernas.
Piore (1979) ha sido el más fuerte y elegante representante de este punto de vista teórico, argumentando que la migración internacional es provocada por una permanente demanda de trabajadores extranjeros inherente a las estructuras económicas de las naciones desarrolladas. De acuerdo con Piore, la inmigración no es causa de los factores de estímulo en los países de origen (bajos salarios o un desempleo alto), si no de los factores de atracción de los países receptores (una crónica e inevitable necesidad de mano de obra extranjera). Esta demanda intrínseca de trabajadores inmigrantes se arraiga en cuatro características fundamentales de las sociedades industrialmente avanzadas y de sus economías.
Inflación estructural: Los salarios no solo reflejan las condiciones de la oferta y la demanda; también confieren un estatus y un prestigio, cualidades sociales que son inherentes al trabajo al cual el salario está vinculado. En general, la gente cree que el salario debería reflejar el status social, y tienen unas nociones más bien rígidas sobre la correlación entre el status ocupacional y la remuneración. Como resultado, los salarios ofrecidos por los empleadores no se encuentran con la entera libertad de responder a los cambios en la oferta de trabajo. Una variedad entre expectativas sociales informales y mecanismos institucionales formales (tales como los convenios colectivos, normativas de la función pública, reglamentos de procedimientos burocráticos, clasificaciones laborales) aseguran que los salarios se corresponden con el prestigio jerárquico y el estatus que la gente percibe y espera.
Si los empleadores tratan de atraer a trabajadores para ejercer trabajos no cualificados y situados en la base de una jerarquía laboral, no pueden simplemente ofrecer un aumento de salario. Un aumento salarial en la base de la jerarquía laboral podría alterar las relaciones establecidas socialmente entre status y remuneración. Si los salarios incrementan en la base, habrá fuertes presiones para que aumenten proporcionalmente también en otros niveles de la jerarquía. Si los salarios de los ayudantes de camarero son incrementados en respuesta a una escasez de demanda a nivel principiante, por ejemplo, pueden solaparse con aquellos salarios de los camareros, vulnerando por tanto su estatus y minando la aceptada jerarquía social. Los camareros, respectivamente, demandarían su correspondiente aumento de sueldo, que amenaza la posición de los cocineros, quienes a su vez presionan a los empleadores para conseguir un aumento. Los trabajadores pueden ser ayudados en sus pretensiones por los sindicatos y la negociación colectiva.
Así, el coste para los empleadores al aumentar los salarios como atracción de trabajadores de niveles inferiores es normalmente mayor que el coste de los salarios de tales empleados por sí mismos; los salarios deben ser incrementados proporcionalmente a lo largo de toda la relación de puestos de trabajo con la intención de mantenerlos en coherencia con las expectativas sociales, un problema conocido como inflación estructural. Atraer trabajadores nativos a través de un incremento del salario de entrada en épocas de escasez es, de este modo, caro y perjudicial, lo que conlleva que los empleadores encuentren un fuerte incentivo en la búsqueda de soluciones más fáciles y baratas, tales como la importación de trabajadores inmigrantes que aceptarán unos salarios bajos.
Problemas motivacionales: Las jerarquías ocupacionales son también criticables para la motivación de los trabajadores, en tanto que la gente no trabaja sólo por un salario, sino también por mantener un determinado estatus social. Los problemas motivacionales agudos surgen en la base de la jerarquía laboral a causa de la falta de un estatus que mantener y de las pocas vías de promoción. El problema es estructural e ineludible debido a que las bases laborales no pueden ser eliminadas del mercado de trabajo. La mecanización para eliminar las clases más bajas y menos deseables de trabajo simplemente creó un nuevo escalafón final compuesto por trabajos que solían estar justo en el peldaño de encima. Como siempre tiene que haber una base en la jerarquía, los problemas motivacionales son ineludibles. Lo que los empleadores necesitan son trabajadores que vean el nivel inferior de la escala laboral simplemente con la finalidad de ganar dinero, y para quienes el empleo se reduce exclusivamente a los ingresos, sin implicaciones para el estatus o el prestigio.
Por una variedad de razones, los inmigrantes satisfacen tales necesidades, al menos al comienzo de su carrera migratoria. La mayoría de los inmigrantes comienzan con la simple meta de ganar, tratando de ganar dinero con objetivos específicos que mejorarán su estatus o bienestar en su hogar —construyendo una casa, pagando una escuela, comprando tierras, adquiriendo bienes de consumo. Además, las diferencias entre los estándar de vida entre las sociedades desarrolladas y las sociedades en desarrollo provocan que incluso el más bajo salario extranjero parezca generoso para el estándar de la comunidad de origen; incluso si un inmigrante se da cuenta de que su trabajo tiene un estatus social bajo en el extranjero, él no se verá a sí mismo como parte de una sociedad de acogida. Más bien se ve como un miembro de su comunidad de origen, donde su trabajo en el extranjero y sus divisas remitidas lo proveen de un considerable honor y prestigio.
Dualismo económico: Los mercados de trabajo bifurcados vienen a caracterizar a las economías industrializadas más avanzadas a causa de su inherente dualidad entre mano de obra y capital. El capital es un factor fijo de producción que puede ser inutilizado o detenido pero no despedido; los propietarios del capital deben cargar con los costes de su inutilización. La mano de obra, en cambio, es un factor de producción variable que puede ser despedido, donde los trabajadores cargan con el coste de su propio desempleo. Siempre que sea posible, por tanto, los capitalistas buscan los porcentajes estables y permanentes de demanda y los reservan para el empleo de los bienes de equipo y de la maquinaria, mientras que la porción variable de la demanda es satisfecha por mano de obra adicional. Así los sectores o industrias de «capital intensivo» son usados para satisfacer la demanda básica, mientras que los sectores de «mano de obra intensiva» son usados para satisfacer el componente estacional o fluctuante de la demanda. Este dualismo crea una distinción entre trabajadores que conduce a una bifurcación de la fuerza de trabajo.
Los trabajadores del sector primario de «capital intensivo» se mantienen estables, son trabajadores cualificados con el mejor equipamiento y herramientas. Los empleadores se ven forzados a invertir en estos trabajadores para dispensarles una práctica y educación especializadas. Sus trabajos son complicados y requieren un considerable conocimiento y experiencia para una correcta actuación, lo que conduce a una acumulación de un sólido y específico capital humano. El sector primario de trabajadores tiende a estar sindicado o altamente profesionalizado, con contratos laborales que requieren que los empleadores carguen con una sustancial porción de los costes de su desempleo (en forma de indemnizaciones por cese y beneficios de desempleo). A causa de los costes y las obligaciones continuas, los trabajadores del primer sector resultan caros de despedir y se convierten, casi, en capital.
En el sector secundario de «mano de obra intensiva», sin embargo, los trabajadores se mantienen en trabajos no cualificados e inestables; pueden ser despedidos en cualquier momento con costes mínimos o nulos para los empleadores. El empleador realmente perderá dinero si retiene a los trabajadores durante periodos de escasez. Durante los ciclos bajos lo primero que hacen los empleadores del segundo sector es recortar su plantilla. Como resultado los empleadores fuerzan a los trabajadores a soportar los costes de su propio desempleo, y mantienen a un factor variable de la producción que es, por tanto, prescindible.
De este modo, el dualismo inherente entre mano de obra y capital se extiende a las fuerzas de trabajo en forma de una estructura de mercado de trabajo segmentado. Los bajos salarios, la condición de inestabilidad, y la carencia de perspectivas razonables de promoción laboral en el sector secundario lo hacen poco atractivo para trabajadores nativos, que en cambio se sienten atraídos por el sector primario, el sector de capital intensivo, donde los salarios son mayores, los trabajos son mas seguros, y hay una posibilidad de ascenso o mejora. Para llenar el déficit de demanda del sector secundario, los empleadores recurren a los inmigrantes.
La demografía del suministro de mano de obra: Los problemas de la inflación motivacional y estructural inherente a las modernas jerarquías ocupacionales, junto al dualismo intrínseco de las economías de mercado, crean una permanente demanda de trabajadores que tengan voluntad de trabajar en condiciones desagradables, con sueldos bajos, una gran inestabilidad, y con pocas posibilidades de prosperar. Antes, esta demanda fue satisfecha por dos tipos de personas cuyo estatus social y características les propiciaban este tipo de trabajos: las mujeres y los adolescentes.
Las mujeres históricamente han tendido a participar en el trabajo inducidas por el momento de su primer parto, y en menor grado después de que los hijos hubiesen crecido. Trataban de obtener ingresos suplementarios para sí mismas o para sus familias. No eran las encargadas principales de la manutención familiar y su identidad social principal era la de hermana, esposa o madre. Su voluntad para asumir los bajos sueldos y la inestabilidad laboral se debió a que concebían el trabajo como algo pasajero, y la ganancia como un suplemento; la posición que mantenían no amenazaba a su estatus social principal, que se sostenía en la familia.
Igualmente los adolescentes, a lo largo de la historia, han ido entrando y saliendo de la fuerza de trabajo con gran frecuencia con la finalidad de ganar dinero extra, para conseguir experiencia, y para probar diferentes ocupaciones. No veían la caducidad del trabajo como algo problemático porque siempre esperaban encontrar un trabajo mejor en el futuro, al terminar la escuela, ganando en experiencia o afianzándola. Además, los adolescentes derivan su identidad social de las orientaciones de sus padres y familias, y no de sus trabajos. Lo conciben de forma instrumental, como la forma de ganar dinero que gastar. El dinero y las cosas que compran elevan su estatus entre sus coetáneos; el trabajo es sólo un medio para lograr un fin.
En las sociedades industrializadas avanzadas, sin embargo, estas dos fuentes de acceso al sector de la mano de obra se han ido reduciendo a causa de tres tendencias socio-demográficas: el incremento de la participación de la mujer en la fuerza de trabajo, que ha transformado el trabajo femenino en una carrera por la consecución de un estatus social así como de un mejor salario; el incremento del índice de divorcios, que ha convertido el trabajo de la mujer en fuente de ingresos principal para la manutención; así como el declive del índice de natalidad y la extensión de la educación obligatoria, que han provocado una reducción del número de adolescentes en la fuerza de trabajo. El desequilibrio entre la demanda estructural de mano de obra del nivel básico y la limitada oferta de trabajadores en el ámbito doméstico ha incrementado la subyacente demanda de inmigrantes a largo plazo.
La teoría del mercado laboral dual ni afirma ni niega que los actores tomen una decisión racional en su propio provecho, como predicaron los modelos microeconómicos. Las características negativas que la población de los países industrializados achaca a los trabajos de bajos salarios, por ejemplo, otorga oportunidades de empleo a trabajadores extranjeros, de modo que incrementa sus expectativas de ganancia, incrementa sus posibilidades de superar los riesgos y las restricciones de crédito, y capacita a las familias para aumentar sus ingresos relativos a través de los envíos de remesas de sus familiares en el exterior. La contratación que realizan los empleadores ayuda a superar las limitaciones tanto informativas como de otro tipo que restringen el movimiento internacional, aumentando el valor de la migración como estrategia de financiación generacional familiar o de diversificación de riesgos.
Aunque la teoría del mercado dual no se encuentra en conflicto con la teoría neoclásica, sí conlleva implicaciones y corolarios bastante diferentes de aquellos que emanan de los modelos decisorios a nivel microeconómico:
1. La mano de obra de la inmigración internacional está basada en gran parte en la demanda y se inicia a través de la contratación en origen por parte de los empleadores de las sociedades desarrolladas o por la actuación de los gobiernos en su nombre.
2. Desde que la demanda de trabajadores inmigrantes se ha desligado de las necesidades estructurales de la economía y se ha expresado a través de la práctica del reclutamiento o la contratación en origen, las diferencias internacionales salariales no son ni una condición necesaria ni suficiente para el fenómeno de la migración de la mano de obra. Los empleados tienen incentivos para reclutar trabajadores mientras que los salarios permanecen constantes.
3. Los bajos niveles salariales de las sociedades receptoras no aumentan en respuesta de una disminución de la oferta de trabajadores inmigrantes; se mantienen por los mecanismos sociales e institucionales y no son libres de responder a las alteraciones de la oferta y la demanda.
4. Sin embargo, los bajos salarios pueden descender como resultado de un incremento en la demanda de trabajadores inmigrantes en el momento en que los controles institucionales y sociales que los mantienen a esos niveles no prevean posibles caídas.
5. Es improbable que los gobiernos puedan influenciar la migración internacional a través de sus políticas más allá de producir pequeños cambios salariales o en los índices de empleo; los inmigrantes satisfacen la demanda de mano de obra estructural creada en las economías modernas post industrializadas, e influenciar este tipo de demanda requiere de cambios mayores en la organización económica.
Sobre los trabajos de Wallerstein (1974) se ha construido una variedad de teorías sociológicas que han ligado los orígenes de la migración internacional no a la bifurcación del mercado de trabajo en las economías nacionales particulares, sino a la estructura del mercado mundial que se ha desarrollado y extendido desde el siglo dieciséis (Portes y Walton, 1981; Petras, 1981; Castells, 1989¸ Sassen, 1988, 1991; Morawska, 1990). Desde esta perspectiva, la penetración de las relaciones económicas capitalistas en las periféricas sociedades no capitalistas crea una población ambulante propensa a migrar al extranjero.
Guiados por un deseo de mayores ganancias y riquezas, los propietarios y gerentes de las firmas capitalistas se introducen en los países pobres de la periferia económica mundial, en busca de tierras, materias primas, mano de obra, y nuevos consumidores. En el pasado, esta penetración mercantil fue asistida por los regímenes coloniales que administraban regiones pobres para el beneficio de los intereses económicos de las sociedades coloniales. Hoy esto es posible a través de los gobiernos neocoloniales y empresas multinacionales que perpetúan el poder de las élites nacionales quienes o bien participan de la economía mundial como capitalistas por sí mismos u ofrecen sus recursos nacionales a empresas globales en términos aceptables.
Según la teoría de los sistemas mundiales, la migración es una consecuencia natural de los trastornos y dislocaciones que inevitablemente acontecen en el proceso de desarrollo del capitalismo. Como el capitalismo se ha expandido de su núcleo en Europa Occidental, Norte América, Oceanía y Japón, a lo largo y ancho del globo y por gran parte de la población mundial incorporándola al mercado mundial económico; y como las tierras, materias primas, y mano de obra de las regiones periféricas han quedado bajo la influencia y control del mercado; ello ha generado los inevitables flujos migratorios, algunos de los cuáles siempre se han desplazado al exterior.
Tierras: Con la intención de obtener los beneficios de los recursos agrarios existentes y de competir dentro de los mercados globales de materias primas, los agricultores capitalistas tratan de consolidar sus propiedades de tierra, mecanizan la producción, introducen cultivos industriales, y aplican aportaciones de producción industriales como fertilizantes, insecticidas, y semillas de alto rendimiento. La consolidación de las tierras, destruye los sistemas tradicionales de tenencia de tierras agrícolas basados en la sucesión o los derechos de usufructo. La mecanización hace decrecer la necesidad de mano de obra y provoca que muchos trabajadores agrarios sean despedidos. La sustitución del cultivo de alimentos básicos por los cultivos industriales mina la tradicionales relaciones socio-económicas basadas en la subsistencia (Chayanov, 1966); y el uso de técnicas modernas de producción proporcionan unos cultivos intensivos de altísima productividad a muy bajo coste que provoca que los agricultores no capitalistas queden fuera del mercado local. Todas estas presiones contribuyen a la creación de una fuerza de trabajo móvil que se desplaza desde las tierras donde se han debilitado sus lazos hacia comunidades agrarias locales.
Materias primas: La extracción de materias primas para su venta en el mercado global requiere de métodos industriales que se confían a los trabajadores asalariados. La oferta de salarios para los anteriores campesinos mina las formas tradicionales de la organización social y económica basada en los sistemas de reciprocidad y roles de relación fijados, creando nuevos mercados de trabajo basados sobre nuevas concepciones de individualismo, ganancia personal, y cambio social. Asimismo, esta tendencia promueve la movilidad geográfica de la mano de obra en las regiones en desarrollo, a menudo con excedentes internacionales.
Mano de obra: Las empresas de los países capitalistas centrales entran en los países en desarrollo para establecer plantas de montaje que se aprovechan de los índices salariales bajos, a menudo dentro de zonas especiales de exportación creadas con el beneplácito de los gobiernos. La demanda de mano de obra para las fábricas refuerza los mercados laborales locales y debilita las relaciones productivas tradicionales. Gran parte de la mano de obra demandada es femenina a pesar de que la resultante feminización de la fuerza de trabajo limita las oportunidades masculinas, pero debido a las exigencias excesivas del trabajo de las nuevas factorías y las exiguas pagas, las mujeres tienden a trabajar pocos años, y después buscan nuevas oportunidades. La inserción de las fábricas de capital extranjero en las regiones periféricas minan la economía campesina por la producción de bienes que compiten con aquellos fabricados localmente, por la feminización de la fuerza de trabajo sin proveer oportunidades de empleo a los hombres y socializando a las mujeres en el trabajo industrial y en las formas de consumo modernas, aunque sin proporcionar unos ingresos para toda la vida capaces de satisfacer estas necesidades. El resultado es la creación de una población desarraigada social y económicamente propensa a la migración.
El mismo proceso económico capitalista que crea inmigración en las regiones periféricas, simultáneamente atrae hacia ellos a los países desarrollados. Aunque algunas personas desplazadas por el proceso de penetración del mercado se mueven hacia las ciudades, creando grandes urbes en las sociedades en desarrollo, inevitablemente muchos tienen que salir del país debido a que la globalización crea lazos materiales e ideológicos con los lugares donde el capital se origina. La inversión extranjera que conduce a la globalización económica es abanderada por un pequeño número de ciudades globalizadas, cuyas características estructurales crea una fuerte demanda de mano de obra inmigrante.
Conexiones materiales: Para transportar los bienes, transferir maquinaria, extraer y exportar materias primas, coordinar operaciones financieras, y dirigir las plantas de manufacturación expatriadas, los centros capitalistas construyen y expanden los medios de transporte y conexiones de comunicación a los países periféricos donde han realizado su inversión. Estas conexiones no sólo facilitan la circulación de bienes, productos, información, y capital, sino que también promueven la circulación de personas reduciendo los costes de desplazamiento a través de ciertos trayectos o vías de comunicación internacionales. Y ello se debe a que inversión y globalización se ven inevitablemente acompañadas por la construcción de infraestructuras de transporte y comunicación, la circulación internacional de mano de obra generalmente sigue a la circulación de bienes y de capital en sentido contrario.
Lazos ideológicos: El proceso de globalización económica crea lazos culturales entre los países capitalistas principales y el mundo en desarrollo. En muchos casos, estos lazos culturales vienen de mucho tiempo atrás, reflejando un pasado colonial en el que los países capitalistas establecieron sistemas administrativos y educativos que reflejaban los propios con la intención de gobernar y explotar la región periférica. Los ciudadanos de Senegal, por ejemplo, aprendieron francés, estudiaban en «lycées», y usaban una moneda directamente vinculada al franco francés en sus transacciones económicas. Así mismo, los indios y paquistaníes aprendieron inglés, asumieron los tipos británicos de «degrees», y se unieron con otros Estados en una unión transnacional denominada la Commonwealth británica. Incluso en ausencia de un pasado colonial, la influencia de la penetración económica puede ser profunda: el número de mejicanos que estudian en universidades de EEUU, que hablan inglés y que se visten al estilo americano aumenta.
Estas conexiones ideológicas y culturales se refuerzan a través de los medios de comunicación de masas y las campañas propagandísticas dirigidas por los países del núcleo capitalista. La programación televisiva de EEUU, Francia, Gran Bretaña, y Alemania, transmite información sobre los estilos y los estándares de vida del mundo desarrollado, y la publicidad comercial realizada por agencias extranjeras inculcan gustos de consumo modernos en la población periférica. La difusión de las lenguas de los países principales y los modelos culturales, así como la expansión de modelos de consumo moderno interactúan con la emergencia de unas infraestructuras de comunicación y medios de transporte que canalizan la migración internacional hacia los países del núcleo capitalista.
Ciudades globales: La economía mundial es liderada por un pequeño número de centros urbanos en el que los bancos, las finanzas, la administración, servicios profesionales y la producción de alta tecnología tiende a ser concentrada (Castells, 1989; Sassen, 1991). En los Estados Unidos, las ciudades globales se exponen en Nueva York, Chicago, Los Ángeles y Miami; en Europa, destacan Londres, Paris, Frankfurt y Milán; y el Pacífico, Tokio, Osaka y Sidney. Dentro de estas ciudades globales se concentra una gran cantidad de fuerza de trabajo rica y bien formada, que crea una fuerte demanda de servicios de la mano de obra de baja cualificación (ayudantes de cocina, jardineros, camareros, trabajadores de hoteles, servicio doméstico). Al mismo tiempo, son responsables de la pesada producción industrial de ultramar; el aumento de la manufacturación de alta tecnología electrónica, informática y en telecomunicaciones; y la expansión del sector servicios tales como en salud o educación, crea una bifurcación de la estructura de mercado de trabajo con una fuerte demanda de trabajadores de ambos perfiles, el más alto y el más bajo, pero crea una relativa debilidad en la demanda de mano de obra del perfil medio.
Los nativos sometidos a una educación pobre se resisten a ocupar puestos de trabajo mal pagados en la base de la jerarquía ocupacional, provocando una amplia demanda de mano de obra inmigrante. Mientras tanto, los nativos con un nivel educativo alto y los extranjeros altamente cualificados dominan los lucrativos puestos de trabajo de los escalones superiores en la distribución ocupacional, así como la concentración de riquezas, que contribuye a alimentar la demanda de inmigración ocupada en los servicios que necesitan. Los trabajadores nativos de educación modesta se aferran a trabajos situados en el decadente nivel medio, se desplazan fuera de las ciudades globales o dependen de programas o seguros sociales de subsistencia.
La teoría de los sistemas mundiales argumenta así que la migración internacional es producto de la organización política y económica de un mercado global en expansión, una visión que saca a la luz seis hipótesis diferentes:
1. La migración internacional es una consecuencia natural de la formación del mercado capitalista en el mundo en desarrollo; la penetración de la economía global en las regiones periféricas es el catalizador de los movimientos internacionales.
2. El flujo internacional de mano de obra sigue a los flujos de circulación de bienes y capital, pero en dirección opuesta. La inversión capitalista fomenta cambios que producen desarraigo, una población móvil en países periféricos que al mismo tiempo forja fuertes lazos y conexiones materiales y culturales con los países ricos del núcleo capitalista, conduciendo a los desplazamientos internacionales.
3. La migración internacional se produce más normalmente entre las potencias coloniales pasadas y sus anteriores colonias, a causa de la creación temprana de estos lazos culturales, lingüísticos, administrativos, financieros, infraestructurales, y telecomunicativos que hicieron posible el libre desarrollo de la competencia exterior durante la era colonial, conduciendo a la creación de mercados transnacionales y sistemas culturales.
4. Si la migración internacional encuentra sus raíces en la globalización económica del mercado, la forma en que los gobiernos pueden influir en los índices migratorios es a través de la regulación de las actividades corporativas de inversión en ultramar, y mediante el control de la circulación internacional de bienes y capitales. Sin embargo tales políticas son difíciles de aplicar por las dificultades que se encuentran en su ejecución, tendiendo a incitar disputas mercantiles internacionales, suponiendo riesgos económicos mundiales de recesión, y debido a empresas multinacionales antagónicas que controlan fuentes políticas sustanciales y que son movilizadas para bloquearlas.
5. Las intervenciones políticas y militares de los gobiernos capitalistas para proteger las inversiones exteriores y mantener en el poder a gobiernos extranjeros simpatizantes con la expansión del mercado global, cuando fracasan, producen grandes desplazamientos de refugiados dirigidos a los países del núcleo, constituyendo otra forma de migración internacional.
6. La migración internacional últimamente tiene poco que hacer con las diferencias internacionales de índices salariales o de empleo, esto es exclusiva consecuencia de las dinámicas de creación del mercado y de las estructuras de la globalización económica.
La inmigración puede ser provocada por una variedad de razones — un deseo de conseguir mayores ingresos, un intento por diversificar riesgos para los ingresos familiares, un programa de contratación en origen para satisfacer la demanda de trabajadores de salario bajo, el desplazamiento internacional de la población rural por la penetración del mercado en las regiones periféricas, una combinación de todos ellos. Pero las condiciones por las que se inician los flujos internacionales pueden ser bastante distintas a aquellas que las perpetúan en el espacio y en el tiempo. Aunque las diferencias salariales, la relativización de los riesgos o los esfuerzos de contratación en origen y la penetración del mercado global pueden continuar provocando el desplazamiento de la población, las nuevas condiciones surgidas en el curso de la migración vienen a funcionar como causas en sí mismas: redes de expansión migratoria, instituciones que apoyan el desarrollo de los movimientos internacionales, y el significado social del cambio laboral en las sociedades receptoras. El empuje general de tales transformaciones hace más probables los movimientos adicionales, un proceso conocido como «acumulación causal».
Las redes de migración se componen de lazos interpersonales que conectan a los migrantes, los migrantes anteriores, y los no migrantes en áreas de origen y destino a través de lazos de parentesco, de amistad, o por pertenencia a la misma comunidad de origen. Las redes incrementan las posibilidades del flujo internacional al disminuir los costes y riesgos del desplazamiento e incrementa los deseados beneficios económicos de la migración. Las conexiones en red constituyen una forma de capital social al que la gente puede recurrir para conseguir acceder a un empleo extranjero. Una vez que el número de inmigrantes alcanza el umbral, la expansión de las redes reduce el coste y los riesgos del desplazamiento, lo que causa el aumento de la probabilidad de emigrar, provoca desplazamientos adicionales, y ulteriormente expande la red, etc. A lo largo del tiempo, los comportamientos migratorios se expanden en el exterior para abarcar segmentos más amplios de las sociedades emisoras (Hugo, 1981; Taylor, 1986; Massey y García España, 1987; Massey, 1990a, 1990b; Gurak y Caces, 1992).
Disminución de costes: Los primeros emigrantes que partieron en busca de un nuevo destino no tenían lazos sociales a los que aferrarse, y para ello la emigración era muy costosa, especialmente si ello suponía la entrada en otro país sin documentación. Una vez que el primer emigrante parte, sin embargo, el coste potencial de la migración se reduce sustancialmente para los amigos y parientes que parten tras él. A causa de las estructuras del parentesco y la amistad, cada nuevo emigrante crea un grupo de personas unidas por lazos sociales en el área de destino. Los migrantes se ven inevitablemente unidos a los no migrantes, y éstos aprovechan las obligaciones implícitas en las relaciones de parentesco o amistad para acceder a un empleo y para asistirse en el punto de destino.
Una vez que el número de conexiones en red en un área de origen alcanza un umbral crítico, la migración se convierte en una auto-perpetuación debido a que cada acto de un emigrante, reduce los costes del siguiente para un número determinado de amigos y familiares, y algunas de estas personas se ven, por tanto, inducidas a emigrar, con la consiguiente expansión del grupo de personas con lazos en el exterior, y la consecuente reducción de los costes para un nuevo grupo de personas, provocando que alguno de ellos emigre, y así sucesivamente.
Disminución de riesgos: Las redes también hacen de la migración internacional algo extremadamente atractivo como estrategia para la diversificación de riesgos. Cuando las redes de migración están bien desarrolladas, ponen los trabajos de destino fácilmente al alcance de muchos de los miembros de la comunidad y hacen de la emigración una fuente de ingresos segura y fidedigna. Así el autosostenible crecimiento de las redes sobrevenido a lo largo de la progresiva reducción de costes puede ser también explicado teóricamente por la progresiva reducción de los riesgos. Cada nuevo emigrante expande la red y reduce los riesgos de desplazamiento para todos aquellos con los que está relacionado, eventualmente haciéndolos virtualmente seguros y livianamente costosos diversificando las cuotas laborales de la familia a través de la inmigración.
Esta teoría dinámica acepta el punto de vista de la migración internacional como un proceso de decisión familiar o individual, pero argumenta que los actos de migración, en el momento presente, alteran sistemáticamente el contexto sobre el que se basan las decisiones de los migrantes futuros, incrementando enormemente las posibilidades de que estos decidan posteriormente migrar. Conceptualizar la migración como un proceso de difusión autosostenido tiene implicaciones y consecuencias que son bastante diferentes de aquellas derivadas de los análisis del equilibrio general típicamente empleados para estudiar la migración:
1. Una vez que comienza, la migración internacional tiende a expandirse continuamente hasta que las redes de conexión se han difundido tan ampliamente en una región de origen que toda su población, si desea emigrar, pueda hacerlo sin dificultad; entonces la migración empieza a desacelerarse.
2. El tamaño del flujo migratorio entre dos países no está estrechamente relacionado con las diferencias salariales o los índices de empleo, porque cualquier efecto que tengan tales variables en la promoción o inhibición migratoria es progresivamente eclipsado por el descenso del coste o de los riesgos de desplazamiento radicado en la expansión de las redes de migración en el tiempo.
3. Como la migración internacional se institucionaliza a través de la formación y elaboración de redes, se independiza progresivamente de los factores que la originaron, ya fueran estructurales o individuales.
4. Como las redes se expanden y los costes y riesgos de la inmigración descienden, el flujo migratorio se convierte en menos selectivo en términos socioeconómicos y más representativo respecto de las comunidades o sociedades de origen.
5. Los gobiernos encontrarán grandes dificultades para regular los flujos migratorios una vez que éstos han comenzado, porque el proceso de formación de las redes descansa muy lejos de su control y no implica problemáticas que puedan ser perseguidas mediante regímenes políticos.
6. Sin embargo, ciertas políticas de inmigración, tales como las que tratan de promover la reunificación familiar, funcionan como propósitos transversales en el control de los flujos migratorios, en tanto que refuerzan la red de migración otorgando a los parientes de la red derechos especiales de entrada en el territorio.
Una vez comenzada la migración internacional, surgen instituciones privadas y organizaciones de voluntariado para satisfacer la demanda creada por el desequilibrio entre el gran número de personas que tratan de entrar en las capitales de los países ricos y el reducido número de visados de inmigración que el país ofrece. Este desequilibrio, y las barreras que los países del núcleo capitalista erigen para mantener a la gente fuera del territorio, provocan huecos económicos muy lucrativos para los empresarios y las instituciones dedicadas a promover los desplazamientos internacionales por provecho propio, dando lugar al mercado negro de la inmigración. Este mercado sumergido crea condiciones guiadas a la explotación y victimización, aunque también surgen organizaciones humanitarias en los países desarrollados para reforzar los derechos y mejorar el trato a los inmigrantes tanto legales como ilegales.
Las organizaciones con ánimo de lucro y los empresarios privados proporcionan unos servicios a los inmigrantes a cambio de cuotas que han sido fijadas en el mercado negro: contrabando subrepticio a través de las fronteras, transporte clandestino a destinos del interior, contratos de trabajo entre empleadores e inmigrantes ilegales, falsificación de documentos y visados; matrimonios de conveniencia entre inmigrantes y residentes legales o nacionales del país de destino. Los grupos humanitarios tratan de ayudar a los inmigrantes proporcionándoles orientación, servicios sociales, refugio, asesoramiento legal sobre cómo conseguir la documentación legal, e incluso resguardo de las leyes de ejecución administrativas sobre inmigración. A lo largo del tiempo, los individuos, las empresas y organizaciones, se han convertido en instituciones estables bien conocidas por los inmigrantes, constituyendo otra forma de capital social del que los inmigrantes pueden valerse para conseguir acceder al mercado de trabajo extranjero.
El reconocimiento del aumento de organizaciones, instituciones y empresarios o intermediarios dedicados a organizar la entrada en el territorio de los inmigrantes, de nuevo nos proporciona unas hipótesis también bastante distintas de aquellas surgidas de los modelos de decisión microeconómicos:
1. Como organizaciones destinadas a apoyar, sostener y promover los desplazamientos internacionales, los flujos de migración se institucionalizan más y más, y se independizan de los factores que originalmente los habían causado.
2. Los gobiernos tienen dificultades para controlar los flujos de migración una vez que ha comenzado porque el proceso de institucionalización es difícil de regular. Teniendo en cuenta los beneficios que surgen de la gran demanda de entrada de los inmigrantes, los esfuerzos policiales sólo sirven para crear un mercado negro de la inmigración, y las estrictas políticas de inmigración se encuentran con la resistencia de los grupos humanitarios.
Además del crecimiento de las redes y del desarrollo de las instituciones de soporte de la migración, la inmigración internacional se autosostiene por otras vías que hacen proliferar los desplazamientos adicionales a lo largo del tiempo, un proceso (Myrdal, 1957) llamado acumulación causal (Massey, 1990b). La causalidad es acumulativa en cada uno de esos actos migratorios que alteran el contexto social del que parten las decisiones de migración ulterior, típicamente son las vías que hacen aumentar la probabilidad de un desplazamiento adicional. Hasta el momento, la ciencia social ha discutido sobre seis factores socioeconómicos que se ven afectados potencialmente por la migración en el modelo acumulativo: la distribución de los ingresos, la distribución de la tierra, la organización de la agricultura, la cultura, la distribución regional del capital humano, y la significación social del trabajo. Es posible también la retroalimentación a través de otras variables, pero no han sido tratadas sistemáticamente (Stark, Taylor, y Yitzhaki, 1986; Taylor, 1992).
La distribución de los ingresos: Como ya hemos hecho notar, la población puede motivarse para migrar no sólo en el incremento absoluto de los ingresos o en la diversificación de los riesgos, sino también para aumentar sus ingresos en relación a otras familias en su grupo de referencia. Si el sentimiento de privación familiar aumenta, aparece la motivación para emigrar. Antes de que emigre ningún miembro de la comunidad las desigualdades de ingresos entre la mayoría de los grupos rurales y pobres, no son demasiado importantes porque todas las familias viven igualmente en un nivel de autosubsistencia con mínimos ingresos del exterior. Sin embargo, una vez que una o dos de estas familias empiezan a participar de los salarios extranjeros, las remesas de dinero incrementan enormemente sus ingresos. Más allá de los costes y riesgos asociados al desplazamiento internacional, la primera familia emigrante se situará normalmente en los rangos medios o superiores de la jerarquía retributiva local. La visión de las familias que incrementan sus ingresos enormemente por medio de la emigración, hará que las familias situadas en los puestos inferiores del ranking de ingresos local sientan una privación relativa, induciendo a algunas de ellas a migrar, cuyos futuros ingresos exacerbadamente desiguales incrementarán el sentimiento de privación de las familias no migrantes, induciendo aun a más familias a emigrar sucesivamente.
La desigualdad de ingresos y la sensación de privación relativa atraviesa una serie de fases, siendo baja al inicio, aumentando después según se acelere el índice de emigración, descendiendo de nuevo cuando la mayoría de las familias participan en la fuerza de trabajo emigrante, alcanzando el mínimo cuando prácticamente todas las familias se ven involucradas en los salarios de la mano de obra extranjera. (Stark, Taylor, Yitzhaki, 1986; Stark y Taylor, 1989; Stark, 1991; Taylor, 1992).
La distribución de la tierra: Uno de los objetivos más importantes para los emigrantes en el extranjero de las comunidades rurales es la obtención de tierras. Pero las tierras son obtenidas como un valor de prestigio o como una fuente de ingresos adicional en la jubilación más que como una inversión productiva. La migración internacional suele utilizar sus ganancias para proveerse de tierras agrícolas, pero con mayor probabilidad que los no migrantes las dejarán en barbecho al ser más lucrativos los salarios laborales extranjeros que la producción agrícola local. Este tipo de propiedad de la tierra hace descender la demanda de trabajadores agrícolas locales, lo que incrementa las presiones a la emigración. Cuanto mayor es la emigración, mayor es el acceso de la población a la obtención adicional de tierras y mayor la proporción de tierra que es apartada de la producción, creando aun mayores incentivos para la emigración. (Rhoades, 1978; Reichert, 1981; Mines, 1984; Wiest, 1984).
La organización de la producción agraria: Cuando las familias de emigrantes cultivan la tierra por sí mismos, incrementan las probabilidades, respecto a las familias no migrantes, de utilizar métodos intensivos de capital (maquinaria, herbicidas, riego, fertilizantes, y semillas de producción intensiva), puesto que tienen acceso a capital para financiar tales avances. De este modo las familias migrantes necesitan menos mano de obra por unidad de producción que los no migrantes, desplazando así a los trabajadores locales de los métodos tradicionales e incrementando de nuevo las presiones sobre la emigración (Massey, et al., 1987). La mayor emigración, la enorme capitalización de la agricultura y el gran desplazamiento de la mano de obra agrícola, conducen de nuevo a la emigración.
La cultura de la migración: El crecimiento prevalente de la migración al interno de una comunidad, provoca cambios en los valores y percepciones tradicionales incrementando las probabilidades de la migración futura. Entre los propios emigrantes, las experiencias en una economía avanzada e industrializada, provoca un cambio en los gustos y motivaciones (Piore, 1979). A pesar de que el migrante comienza con el estricto objetivo de tratar de conseguir ganancias que le costeen una salida para ganar dinero, después de migrar experimentan un concepto de movilidad social y un gusto por el consumo de bienes y un estilo de vida que difícilmente podrán realizar con el trabajo local. Una vez que alguien ha emigrado es muy probable que migre de nuevo, y las probabilidades de hacer una salida adicional aumentan conforme aumenta el número de salidas ya efectuadas (Massey, 1986).
A nivel comunitario, la migración llega a estar profundamente arraigado en el repertorio de las necesidades de la población, y los valores asociados a la migración se convierten en parte de los valores de la comunidad. Para los hombres jóvenes, y en muchos lugares también para las mujeres jóvenes, la migración se ha convertido en un pasaje ritual, y aquellos que no tratan de elevar su estatus mediante los desplazamientos internacionales se consideran vagos, poco audaces, e indeseables (Reichert, 1982). Eventualmente el conocimiento sobre lugares y trabajos extranjeros está ampliamente difundido, y los valores, sentimientos, y necesidades características de las sociedades ricas se expande a lo ancho de toda la región de origen (Massey et al., 1987; Alarcón, 1992).
La distribución regional del capital humano: La migración es un proceso selectivo que tiende, inicialmente al menos, a apartar de las comunidades de origen a una población bien educada, cualificada, productiva y altamente motivada (aunque como apuntamos más arriba, la migración tiende a ser menos selectiva con el paso del tiempo en tanto que los costes y riesgos descienden por la formación de redes). Esta migración conduce a un agotamiento del capital humano en las regiones de origen y su acumulación en las áreas de destino, mejorando la productividad de los últimos y descendiendo en los primeros. Por lo tanto, a lo largo del tiempo, la acumulación de capital humano refuerza el crecimiento económico en las áreas de destino mientras que simultáneamente lo agota en las de origen exacerbando su estancamiento, lejos de mejorar las condiciones de la migración (Myrdal, 1957; Greenwood, 1981, 1985; Greenwood, Hunt y McDowell, 1987). Los proyectos para la construcción de escuelas y la expansión educacional en las áreas de destino refuerzan el proceso de migración acumulativa al aumentar los niveles educativos en las áreas rurales periféricas incrementando los beneficios potenciales de la emigración y otorgándole a la población enormes incentivos para partir hacia destinos urbanos en casa o en el extranjero.
Catalogación social: Dentro de las sociedades receptoras, una vez que un inmigrante ha sido contratado en ocupaciones concretas, por lo general, aquellos trabajos son culturalmente catalogados como “trabajo de inmigrantes” y los trabajadores nativos se muestran reacios a ocuparlos, reforzando la demanda estructural de inmigrantes. La inmigración cambia la definición social del trabajo, creando una cierta clase de ocupaciones que son definidas así como estigmatizadas y concebidas como culturalmente inapropiados para los trabajadores nativos (Böhning, 1972; Piore, 1979). El estigma trae causa de la presencia de los inmigrantes, no de las características del trabajo. En la mayoría de los países europeos, el trabajo en la manufacturación de automóviles es considerado “trabajo de inmigrantes”, mientras que en los Estados Unidos se considera “trabajo nativo”.
Observando la migración internacional en términos dinámicos como un proceso social de acumulación se nos plantean una serie de proposiciones consistentes, en líneas generales, con aquellas derivadas de la teoría de las redes de migración:
1. Los cambios sociales, económicos y culturales provocados por la migración internacional tanto en los países de destino como en los de origen, conceden un poderoso impulso de resistencia interna para el fácil control y regulación de los movimientos de población, teniendo en cuenta que el retroalimento de los mecanismos de acumulación causal descansa sobre un terreno fuera del alcance de los gobiernos.
2. Durante los períodos de desempleo doméstico y de falta de puestos de trabajo, los gobiernos encuentran dificultades para restringir la mano de obra inmigrante y contratar a nativos para determinados puestos que anteriormente estaban ocupados por inmigrantes. Se ha producido un cambio en la valoración de los trabajadores nativos, que rechazan los puestos de trabajo “de inmigrantes” haciéndose necesario retener o contratar más inmigrantes.
3. El encasillamiento social de un determinado puesto de trabajo como “de inmigrante” deriva de la concentración de mano de obra inmigrante en el mismo; una vez que la inmigración ha penetrado en un tipo de puesto de trabajo en un número significativo, será difícil contratar trabajadores nativos en esa categoría ocupacional.
Todas las distintas proposiciones de la teoría de los sistemas mundiales, la teoría de las redes, la teoría institucional, y la teoría de la acumulación causal, sugieren que los flujos migratorios adquieren cierta estabilidad y estructuración a lo largo del tiempo y el espacio, permitiendo la identificación de sistemas de migración internacional estables. Estos sistemas se caracterizan por el relativamente intenso intercambio de bienes, capital y población entre ciertos países y el menos intenso intercambio entre otros. Un sistema internacional de migración incluye una región de recepción central, que puede ser un país o grupo de países, y un conjunto de países de origen ligados a aquellos por un flujo de inmigración inusualmente largo (Fawcet, 1989; Zlotnik, 1992).
Sin embargo no es una teoría separada, sino más bien una generalización de las precedentes teorías, una perspectiva de los sistemas de migración que nos ofrece algunas hipótesis y proposiciones interesantes:
1. Los países dentro de un sistema no tienen porque ser geográficamente cercanos, ya que los flujos reflejan relaciones económicas más que relaciones físicas, Sin embargo la proximidad obviamente facilita la formación de relaciones de intercambio, pero ni las garantiza ni las descarta.
2. Los sistemas multipolares son posibles, allí donde una serie de países ricos dispersos reciben inmigrantes de un conjunto de naciones de envío fronterizas.
3. Las naciones pueden pertenecer a más de un sistema migratorio, pero los miembros múltiples son más comunes entre los países de origen que entre los de destino.
4. Como las condiciones políticas y económicas cambian, los sistemas evolucionan, pero estabilidad no significa estructura fija. Los países pueden unirse o separarse de un sistema como consecuencia de cambios sociales, fluctuaciones económicas o agitaciones políticas.
Como las teorías propuestas para explicar los orígenes y persistencias de la migración internacional proponen unos mecanismos causales en varios niveles de agregación, las variadas explicaciones no son necesariamente contradictorias entre sí, a menos que una de ellas adopte la rígida posición de que las causas deben operar en un nivel y solamente en un nivel. Sin embargo no encontramos a priori motivos para mantener esta aserción. Como mantuvimos antes, es completamente posible que los particulares se dediquen al cálculo del coste-beneficio; que las familias traten de diversificar las cuotas o asignaciones de trabajo; y que el contexto socioeconómico dentro del cual tales decisiones son tomadas se determine por fuerzas estructurales que operen en el nivel tanto nacional como internacional (Papademetriou y Martin, 1991). Por todo ello nos mostramos escépticos tanto con la teoría atomística que niega la importancia de las limitaciones estructurales en la decisión individual, como con la teoría estructural que niega el papel de las familias o los particulares.
Antes que adoptar la estricta posición teórica de la exclusividad, preferimos tomar como referencia la más amplia posición que aboga porque los procesos causales relevantes para la migración internacional pueden operar en múltiples niveles simultáneamente, y que la aclaración de cuáles de estas explicaciones puede sernos útil no es una cuestión de lógica, sino más bien empírica. Cada modelo debe ser considerado en sus propios términos y sus principios fundamentales deben ser examinados cuidadosamente para derivar de ellos proposiciones evaluables. Sólo entonces podremos especificar claramente los datos y métodos requeridos para evaluarlos empíricamente.
El modelo económico neoclásico ofrece una predicción empírica clara que, en principio, sería fácilmente verificable: el volumen de migración internacional está significativa y directamente relacionado, a lo largo del tiempo y a través de los distintos países, con el tamaño de las diferencias salariales. Los análisis sobre la regresión que comprueban las teorías de Lewis (1954), Ranis y Fei (1961) deberían por tanto tener en cuenta las diferencias salariales transnacionales como una guía para la predicción, contando la distancia geográfica entre países como una representación del coste del desplazamiento.
Posteriores matizaciones de la teoría neoclásica sostienen, sin embargo, que el factor pertinente en el proceso decisorio de la emigración son las diferencias de las expectativas de ganancia, y no la diferencia salarial absoluta (Todaro, 1969; 1976; Todaro y Maruszko, 1987). En cada momento las expectativas de ganancia se definen como ganancias reales en el país multiplicadas por las probabilidades de encontrar empleo allí. Aunque esta última posibilidad, encontrar empleo, se mide como uno menos la tasa de desempleo, probablemente sea más apropiada su medición como uno menos la tasa de desempleo dado el dominio de los empleos esporádicos, o part-time en los puestos de trabajo de baja cualificación en las regiones en desarrollo. La clave para la predicción de los flujos migratorios es así una interacción entre el cruce de las probabilidades de encontrar empleo y del salario. Un examen estadístico del significado de esta interacción, comparado con un modelo de regresión donde solamente aparecen los salarios reales, constituye una comparación crítica entre las versiones Ranis-Fei y Todazo de la teoría neoclásica. (ver Todaro, 1980; Greenwood, 1985; para una revisión de la literatura sobre la investigación empírica sustancial del modelo de Todaro).
El corolario lógico de ambos modelos es que los desplazamientos internacionales no debería acontecer en ausencia de una diferencia salarial esperada u observada, y que los desplazamientos entre países deberían cesar cuando las diferencias salariales hayan cesado (el conjunto de los costes de desplazamiento tanto monetarios como psicológicos). Los flujos internacionales que aparecen en ausencia de diferencias salariales o antes de que estas sean eliminadas, constituyen condiciones anómalas que representan, prima facie, evidencias contrarias a la asunción de la teoría neoclásica económica.
A nivel individual el modelo de Todaro y sus sucesores predica que las características individuales y familiares positivamente relacionadas con el índice salarial y las posibilidades de encontrar empleo, incrementará las posibilidades de emigrar al aumentar los beneficios esperados del desplazamiento internacional. Por consiguiente, la probabilidad de la emigración es predicha por la relación con variables fiables de estándares de capital humano, tales como la edad, la experiencia, los estudios, estado civil, y cualificación laboral. La propensión a la migración internacional puede también suponerse por la variación de acceso familiar a las fuentes de ingresos domésticos (tales como la propiedad de tierras o el mantenimiento de empresas privadas), en el momento en que esto afectará a los beneficios netos del desplazamiento.
Desde el momento en que las variables del capital humano que afectan a los índices salariales y a los de empleo en las áreas de destino tienden también a afectar a los índices salariales y de ocupación en los lugares de origen, un asunto empírico clave será si los efectos del capital humano son mayores en casa o en el extranjero. Dado que la migración internacional conlleva un cambio de lengua, de cultura, y del sistema económico, el capital humano adquirido en casa se transfiere de forma imperfecta en el extranjero (ver Chiswick, 1979). En este caso los migrantes internacionales podrían ser negativamente seleccionados respecto a variables tales como educación y experiencia laboral.
Entre los mejicanos del entorno rural, por ejemplo, los beneficios económicos de la escolarización han sido históricamente superiores en las áreas urbanas de Méjico que en Estados Unidos. Mientras que un inmigrante ilegal con educación secundaria puede conseguir el mismo salario mínimo en Los Ángeles que un trabajador sin estudios, en México D.F. este nivel de estudios cualificaría a la misma persona para un trabajo como administrativo u oficinista, haciendo aumentar las posibilidades de una migración rural-urbana y descender las probabilidades de una migración internacional (Taylor, 1987).
Este modelo de selección negativa no puede ser propuesto hipotéticamente de forma universal debido a que la selección de variables de capital humano depende de la capacidad de transferir la cualificación o habilidad que se está considerando, que en sí misma es determinada por las condiciones económicas, sociales, e históricas de los países envueltos. En general cualquier cambio social que afecte el valor de mercado del capital humano en cualquier sociedad tiene el potencial de alterar el tamaño y dirección de las relaciones entre variables de predicción específicas y la probabilidad de los desplazamientos internacionales.
De este modo, es casi imposible, a priori, la predicción de la dirección de las relaciones entre una variable individual y la probabilidad de migración, y es difícil, consecuentemente, derivar de este análisis una evaluación convincente de la teoría neoclásica a nivel microeconómico en una «forma reducida de regresión» —que es aquella en que la probabilidad de migración es modelada directamente como una función de variables individuales y familiares. En general, la única predicción universal que puede ser ofrecida es que el capital humano debería estar, de alguna manera, fidedignamente ligada a la probabilidad de desplazamiento internacional, pero la extensión y dirección de las relaciones son imposibles de conocer en ausencia de una información histórica sobre los países vinculados. Sólo después de que las circunstancias históricas hayan sido claramente especificadas y sus influencias sobre los beneficios de determinadas formas de capital humano clarificadas, podemos formular un test crítico modelo macroeconómico neoclásico.
Una alternativa más formal, sería el uso estructural de la probabilidad de migrar como una función de la perspectiva diferencial de ingresos, y simultáneamente utilizar la expectativa diferencial de ingresos como una función de las variables familiares o individuales. En este sentido, los efectos de las variables de la experiencia individual sobre la migración a través de su influencia sobre la expectativa diferencial de ganancias puede ser examinada explícitamente. Además, los posibles efectos sobre estas variables, independientemente de su influencia sobre la expectativa de ganancia, pueden ser explorados (Taylor, 1986). En ausencia de exámenes estructurales, es difícil falsear la teoría macroeconómica con el examen de las regresiones individuales. La única evidencia que podría proyectar serias dudas sobre la validez de la teoría del capital humano sería la completa ausencia de relación entre el propio capital humano y la migración.
En contraste con la teoría neoclásica, las nuevas teorías económicas sobre la migración se focalizan sobre la familia o economía doméstica, más que sobre los particulares individualmente, como la unidad de decisión relevante; y esta propone que la migración es una respuesta a los riesgos y fallos de una variedad de mercados (mercados de seguros, de créditos, de trabajo), que unidos restringen las oportunidades de ingresos locales e inhiben el reparto de los riesgos. El examen más directo de esta teoría se encontraría en la ausencia o presencia de tales imperfecciones del mercado en relación con las familias propensas a participar en la migración internacional. Si las nuevas teorías económicas sobre inmigración son correctas, la confrontación entre las familias y las imperfecciones del mercado local sería la mejor medida para adoptar una estrategia de migración internacional, independientemente del resto de cosas.
Desafortunadamente las demás variables no nos dan igual. Típicamente hay una alta correlación entre las imperfecciones del mercado y las demás variables (llamémoslas bajos salarios o ingresos) que son el foco principal de las teorías neoclásicas. El gran reto de este examen directo es separar la influencia de las imperfecciones del mercado y sus riesgos sobre la migración internacional del papel que jueguen las otras variables sobre la renta o el empleo.
Una de las contribuciones más distinguidas de la nueva teoría económica de la migración es la integración que realiza entre la decisión de migrar y el uso familiar de las remesas enviadas por los emigrantes—aspecto de la migración que hasta la fecha había sido tratado separadamente por la literatura. Si los riesgos inherentes a los ingresos y el deseo de superar las constricciones locales sobre la producción son las fuerzas que conducen a la migración, entonces el resultado de la migración debe reflejar este hecho. Disponemos para ello de tests indirectos de la nueva teoría económica.
Si la diversificación de los riesgos es la motivación principal, entonces las remesas de los emigrantes serán superiores en períodos en los que los ingresos familiares estén más expuestos a riesgos locales o cuando el riesgo sea más agudo (vg. durante una sequía severa como demostraron Lucas y Stark, 1985). Si una motivación primaria de la migración es superar los riesgos y las constricciones de crédito en la producción local radicadas en los fallos del mercado, entonces la migración y las remesas enviadas deberían influenciar positivamente las actividades locales de generación de ingresos (Lucas, 1987; Taylor, 1992). Tal descubrimiento proporcionaría una evidencia a favor de la nueva teoría sobre la migración, porque los efectos positivos de la migración en las actividades de producción local no se contemplan en la teoría neoclásica, al ser efectos del riesgo. La teoría neoclásica se centra en la maximización individual de la expectativa de los ingresos y asume que los mercados son completos y de funcionamiento perfecto.
Las nuevas teorías económicas sobre la migración también sitúan la migración en un amplio contexto comunitario, ligando específicamente la decisión familiar de migrar con su posición en la distribución local de los ingresos. La teoría de la privación relativa predice que la probabilidad de que una familia envíe a un miembro al extranjero es mayor cuanto mayor es la cantidad de ingresos ganados por las familias que se sitúan sobre aquella en la distribución de ingresos de la comunidad de referencia, y de forma más general, mayor es la desigualdad entre rentas en la comunidad de referencia. Un examen sistemático sobre esta proposición requiere un modelo estadístico que no sólo contenga las variables usuales del nivel individual o familiar, sino que también debe contener las características comunitarias en cuanto a la desigualdad de ingresos o una medida operativa de los ingresos relativos. Stark y Taylor (1989) descubrieron que el ingreso relativo era más significativo que el ingreso absoluto para la explicación de la migración internacional laboral en una muestra de familias mejicanas, excepto en los dos extremos de la distribución de ingresos.
El nuevo modelo económico puede también examinarse en un nivel agregado. Distintamente al modelo neoclásico, la diversificación de riesgos tiene en cuenta los desplazamientos en ausencia de diferentes índices de ocupación o salariales, porque esto liga a la migración no sólo las condiciones del mercado de trabajo, sino también las carencias en los mercados de capital y seguros. Con la intención de probar esta conceptualización, las regresiones que prevén los movimientos internacionales de población deberían contener, como variables independientes, indicadores de la presencia o ausencia de programas de aseguración (vg. seguros agrarios o de desempleo), niveles de cobertura de mercado (medida de participación en el mercado per cápita), mercados clave (vg. mercados de capital y de futuros), y costes de transacción (vg. seguro e índices de intereses). En general, las deficiencias en estos mercados complementarios se prevén como un incremento del tamaño de los flujos internacionales y de la probabilidad de que las familias particulares envíen migrantes al exterior, manteniéndose constantes las condiciones en el mercado de trabajo.
Aunque la teoría del mercado dual propone una estructura ocupacional bifurcada y un modelo de organización económica para sociedades industrializadas desarrolladas, en la práctica ha sido difícil verificar esta estructura del mercado segmentada empíricamente (Cain, 1976; Hodson y Kaufman, 1982). Normalmente la distinción entre sector «primario» y «secundario» es arbitraria, lo que conduce a un gran inestabilidad en su estimación empírica y un alto grado de dependencia de los resultados de la regla de decisión elegida para situar los trabajos en cada sector (Tolbert, Horan, y Beck, 1980; Hodson y Kaufman, 1981; Horan, Tolbert y Beck, 1981; ver Dickens y Lang, 1985, como excepción a esta crítica).
Más que tratar de verificar la estructura empírica del mercado de trabajo, una estrategia más eficaz podría ser centrarse en las predicciones que hace esta teoría sobre los modelos de desplazamientos internacionales, que son bastante específicos y objetivamente evaluables. Piore, entre otros, argumenta que la inmigración se guía por condiciones de demanda más que de oferta. En los modelos estadísticos de regresión a largo plazo de la migración internacional respecto a la evolución de las condiciones del mercado en los países de origen y de destino, deberían observarse elementos altamente aclarativos entre los indicadores del país de destino y aquellos de origen. Si las condiciones reales de empleo así como las salariales entran a formar parte de la ecuación de predicción de los desplazamientos entre Turquía y Alemania, por ejemplo, los indicadores alemanes deberían dominar como elementos de predicción.
Basándonos en la demanda, la dualidad del mercado de trabajo puede también aproximarnos al pronóstico de que los flujos de migración comienzan a través de mecanismos formales de contratación en vez de a través de esfuerzos individuales. En principio, debería ser fácil esta proposición simplemente enumerando los mayores flujos de migración internacional desde sus inicios en 1950 y documentando cuáles fueron iniciados a través de procedimientos de contratación, ya fuesen públicos o privados. Si la mayoría, o todos, los flujos de migración fuesen justificables a una suerte de programa de contratación, entonces habremos sustanciado una predicción clave del mercado dual de trabajo. En su obra, Piore no asume este ejercicio; se refiere tan sólo a algunos casos acaecidos consistentes con su teoría (para un ejemplo de este ejercicio, consultar Massey y Liang, 1989).
Una última predicción de la teoría del mercado dual es que los salarios del sector secundario son flexibles a la baja, pero no al alza. Por tanto, las fluctuaciones de los índices salariales en los trabajos ocupados por inmigrantes no deberían estar estrechamente ligados a las fluctuaciones de la oferta y demanda de mano de obra. Durante los periodos de escasa mano de obra inmigrante y alta demanda de trabajo, los salarios de los países de recepción no se incrementan para atraer a trabajadores nativos a causa de la rigidez institucional, pero durante los periodos de alta inmigración y escasa demanda no hay nada que prevenga de una caída de los mismos en respuesta a las presiones competitivas. Así esperamos una interacción entre los cambios en los índices salariales y la contracción o expansión de la inmigración durante el mismo periodo: el efecto esperado es cero en el primer caso, y un resultado negativo en el segundo. También prevemos una ampliación de las diferencias salariales entre estos puestos de trabajo y aquellos ocupados por trabajadores nativos.
Aunque la teoría de los sistemas mundiales constituye una compleja y difusa estructura conceptual al mismo tiempo, nos ofrece varias proposiciones sencillas y comprobables, la primera de las cuales es que los flujos internacionales de mano de obra persiguen a los flujos internacionales de capital, eso sí, sólo en sentido inverso. Según Sassen, entre otros, la emigración aparece como causa de las inversiones extranjeras directas en países en desarrollo y de los trastornos que tales inversiones provocan. De este modo, deberíamos observar que las corrientes de capital extranjero destinadas a las regiones periféricas, se acompañan de la salida del correspondiente influjo migratorio.
Este proceso migratorio se argumenta en la existencia de lazos y nexos ideológicos y materiales creados por las colonizaciones previas, así como por el devenir de la penetración de los procedimientos de mercado. Si fuéramos a especificar un modelo de flujo migratorio para tratar de probar la teoría de los sistemas mundiales, querríamos incluir indicadores sobre las relaciones coloniales, sobre la prevalencia de una lengua común, la intensidad de las relaciones comerciales, la existencia de medios de comunicación o de transporte, o la relativa frecuencia de las comunicaciones entre ambos.
Finalmente la teoría de los sistemas mundiales especifica que la migración no sólo fluye desde las regiones periféricas a las regiones centrales a lo largo de los senderos de la inversión de capital, sino que también está dirigida a ciertas «ciudades globales» que canalizan y controlan la inversión extranjera. Aunque esta teoría no prevé criterios generales para definir a la «ciudad global», existe un conjunto de criterios operacionales que nos proporcionan información sobre activos de capital y sedes centrales de corporaciones multinacionales. Entonces uno podría examinar la relativa frecuencia de los desplazamientos a las ciudades globales, así como las diferencias entre emplazamientos en el mundo desarrollado y el mundo en vías de desarrollo.
La teoría de las redes nos acerca a una serie de proposiciones eminentemente evaluables. Según Piore, Massey y otros, una vez que alguien ha emigrado al extranjero, es muy probable que vuelva a hacerlo, conduciendo a desplazamientos repetitivos a lo largo del tiempo. De este modo la probabilidad de efectuar un viaje adicional aumenta con cada viaje efectuado; la probabilidad de migrar de forma internacional debería ser mayor entre aquellos con experiencias internacionales previas que entre los que no las tienen; y la probabilidad de migración adicional debe aumentar conforme aumenta la cantidad de experiencias en el extranjero.
Una segunda propuesta es que observando la experiencia individual migratoria de las personas, la probabilidad de la migración internacional debe ser mayor para aquellos que están relacionados con individuos con experiencias migratorias extranjeras previas, o para aquellos conectados en la actualidad con otros sujetos que vivan en el extranjero. También, la probabilidad de desplazamiento debería incrementar según la cercanía de la relación (vg. tener un hermano en Alemania hace aumentar las probabilidades de emigrar de un turco en mayor medida que tener un primo, un vecino, o un amigo); e incrementaría también dependiendo de la personificación en la relación del capital social (tener un hermano que ha vivido en Alemania durante diez años es más valioso para un emigrante que tener uno que acaba de llegar, y tener uno que es residente legal en el país es mejor que uno que carece de documentos).
Otra de las hipótesis radica en el reconocimiento de que los desplazamientos internacionales requieren la superación de más barreras para los migrantes que el desplazamiento interno. Además de los costes normales del viaje y de la búsqueda de trabajo, aparecen los costes del aprendizaje y adaptación a una nueva cultura, los costes de la adquisición de una documentación apropiada y, si la adquisición de la documentación de legalidad es imposible, el evitar la deportación o el arresto. Por lo general, cuanto mayores son los obstáculos al desplazamiento, más importancia adquieren los nexos en red en la promoción de la migración, en tanto que reducen los costes y riesgos de los desplazamientos. Así debemos observar que las conexiones en red son sistemáticamente más potentes en la predicción de la migración internacional que en la migración interna. Taylor (1986) encuentra un ejemplo de este efecto diferenciado de las redes de migración de las familias mejicanas.
En cuanto a las familias, deberíamos ser capaces de detectar el efecto del capital social sobre la conducta del migrante. Por lo general, en las familias donde algún miembro ha emigrado al exterior se manifiestan mayores probabilidades de desplazamientos que en aquellas que carecen de alguna experiencia migratoria. Por ejemplo, si la teoría de las redes es correcta, un vector común por el cual se transmite la conducta migratoria es de padres a hijos (Massey et al., 1987). Los hijos dependientes cuyos padres son o han sido emigrantes internacionales tendrían más probabilidades de emigrar que aquellos cuyos padres carecen de experiencia migratoria.
Finalmente, en el nivel comunitario, deberíamos ser capaces de observar el efecto de la prevalencia de lazos en red. La población debería tener más posibilidades de emigrar al extranjero cuando provienen de una comunidad de emigrantes y donde se acumula una larga experiencia extranjera, que cuando proviene de un lugar donde la migración internacional es infrecuente (Massey y García España, 1987). Además, conforme aumentase el número de lazos sociales y creciesen las experiencias migratorias a lo largo del tiempo, la migración se haría progresivamente menos selectiva y se expandiría desde el segmento medio al más bajo de la jerarquía socioeconómica. Por lo general las decisiones migratorias individuales o familiares necesitan ser situadas dentro de un emplazamiento local, sugiriendo la necesidad de modelos analíticos multinivel que incorporen listas de conexiones en red dentro de la comunidad.
La teoría institucional argumenta que las disparidades entre la oferta y la demanda de visados de entrada a los núcleos capitalistas en las sociedades de destino crean espacios muy lucrativos para que determinados empresarios desarrollen sus servicios legales o ilegales de entrada, y que esta explotación resultante de tales disparidades también mueve a organizaciones humanitarias a favor de los inmigrantes. El establecimiento y crecimiento de instituciones dedicadas a la inmigración constituye otra forma de infraestructura social que hace persistir a lo largo del tiempo e incrementa el volumen de los desplazamientos de población.
Aunque pueda ser factible documentar tal desarrollo institucional y sus efectos sobre la migración a través del estudio de casos concretos, es más difícil unir las instituciones a los flujos agregados de población o al nivel microeconómico decisorio de un modo analíticamente riguroso.
En un sondeo general, podría preguntarse a los migrantes y no migrantes si tienen conocimiento del apoyo facilitado por estas instituciones, y utilizar las respuestas para predecir las probabilidades de desplazamientos en este sentido. O podría también documentarse sobre la presencia de tales instituciones en las diferentes comunidades y usar los resultados para vaticinar el índice de emigración a nivel comunitario o, desde un modelo multinivel, la probabilidad de emigración a nivel familiar e individual.
Por último, la teoría de la acumulación causal establece las hipótesis generales por las que la migración se sustancia a sí misma de forma que la migración tiende a crear más migración. Esta hipótesis deriva de la proposición por la que las decisiones individuales o familiares se ven influenciadas por el contexto socioeconómico desde el que se realizan, y que los actos de migración de un momento determinado afectan a las ulteriores decisiones. Las decisiones migratorias hechas por las familias y los individuos influencian las estructuras sociales y económicas de la comunidad, que influencian las posteriores decisiones tomadas por otros individuos o familias. Bien pensado, los cambios a nivel comunitario incrementan las probabilidades de posteriores desplazamientos, lo que conduce a una acumulación causal a largo plazo (Massey et al., 1987; Massey, 1990b).
La comprobación sistemática de esta teoría plantea la demanda de datos sustanciales. Para examinar la acumulación causal a nivel agregado sería necesario usar datos intersectoriales, el recurso a complicados sistemas de ecuaciones estructurales que deberían ser especificados, y ello requiere variables instrumentales que son difíciles de definir e identificar, especialmente en el conjunto de datos internacionales. Lo ideal sería examinar comprobar esta teoría usando datos longitudinales multinivel, que contendría variables definidas a nivel individual, familiar, comunitario e incluso nacional, y todas medidas en diferentes momentos temporales. Sólo con tal conjunto de datos los efectos de la recíproca retroalimentación de las decisiones individuales y familiares en la estructura social podría ser discernida y medida.
La teoría de la acumulación causal, siendo de alguna forma aun rudimentaria en cuanto a su desarrollo, apunta varios factores de particular importancia como canalización de la retroalimentación entre la conducta individual y la estructura comunitaria. El primer factor son las redes comunitarias, que sugieren la necesidad de reunir información detallada sobre lazos y nexos de parentesco y amistad entre migrantes y no migrantes. Un segundo factor es la igualdad de ingresos, que requiere la exacta medida de los ingresos familiares. El tercero es la distribución de la tierra, que requiere de información detallada sobre la tenencia y propiedad de tierras. El cuarto pertenece sólo a áreas rurales, y es la naturaleza de la producción agrícola, que necesita de información sobre el uso de regadíos, maquinaria, contratos de trabajadores, uso de herbicidas, pesticidas y de semillas de producción intensiva, por parte tanto de las familias migrantes como de las no migrantes. El último, y quizás más difícil factor de medida para la evaluación de la acumulación causal es la cultura, que requiere de información acerca de las creencias, valores y tradiciones normativas.
Lo ideal para todos estos factores sería medirlos de forma longitudinal, aunque en algunos casos —cultura, por ejemplo— sería casi imposible. Dada la dificultad de asegurar información longitudinal sobre los cambios en las prevalencias de las redes migratorias, el grado de desigualdad de los ingresos, las asimetrías en la distribución de la tierra, y el provecho de la producción agrícola intensiva, una estrategia alternativa podría ser contar con la diversidad geográfica de estos factores por distintas comunidades, especificando el recurso a sistemas estructurales de ecuaciones que tipifiquen los modos de retroalimentación, pero esta aproximación trae a colación serios asuntos técnicos respecto a la identificación e instrumentación.
La última idea conceptual que discutiremos es la perspectiva de los sistemas, que argumenta que las fuerzas causales que operan en una pluralidad de niveles conducen a la aparición de sistemas de migración estables. Estos sistemas se caracterizan por relativamente largos flujos de migración entre los países que forman parte de ellos en relación a los flujos fuera del sistema. Verificar la existencia de tales sistemas es un problema empírico sencillo consistente en el establecimiento de un umbral de intensidad para la consideración de un flujo dentro de una estructura sistémica, y por tanto su aplicación para la identificación de aquellos que prevalecen hoy en el mundo. En esta línea se han realizado ya algunos esfuerzos de este tipo (Zlotnik, 1992).
Las diferentes teorías desarrolladas para la comprensión de los procesos de migración internacional proponen mecanismos causales que operan en niveles de análisis ampliamente divergentes. Aunque las proposiciones, asunciones e hipótesis derivadas de cada perspectiva no son inherentemente contradictorias, sin embargo conllevan implicaciones muy diferentes en la formulación de políticas adecuadas. Dependiendo de qué modelo se sostenga y bajo qué circunstancias, la ciencia social podría recomendar a los encargados de realizar tales políticas que tratasen de regular la migración internacional a través de cambios en las condiciones salariales y de empleo de los países de destino; a través de la promoción del desarrollo económico en los países de origen; estableciendo programas de seguridad social en las sociedades de envío; reduciendo la desigualdad de ingresos en los lugares de origen; mejorando los mercados de capital y los de futuros en las regiones en desarrollo; o a través de alguna combinación de estas actuaciones. También podría advertirse que todos estos programas serían infructuosos dados los imperativos estructurales impuestos a los movimientos internacionales cada vez más apartados de las relaciones económicas de los mercados.
Sea cual sea el caso, dado el tamaño y la escala de los flujos migratorios contemporáneos, y dado el potencial existente en la emergente diversidad de las sociedades multiétnicas en todo el mundo para los desacuerdos y conflictos, las decisiones políticas sobre migración internacional se encontrarán entre las reconstrucciones más importantes de las próximas dos décadas. Asimismo, la fijación de los soportes empíricos relativos a cada una de estas ideas teóricas y su integración a la luz de esta evaluación estarán entre las tareas más importantes que tengan que realizar las ciencias sociales en los subsiguientes años. Esperamos que con la explicación de las teorías principales sobre migración internacional y mediante la clarificación de sus propuestas subyacentes hayamos asentado las bases para este necesario trabajo empírico.
Resumen: La migración internacional esta emergiendo como una característica estructural básica en casi todos los estados industrializados y supone una prueba de la intensidad y coherencia de las “fuerzas esenciales”, poco comprendidas o no del todo conocidas, basadas en teorías en competencia. El siguiente artículo es una explicación de las teorías existentes, de su solidez y debilidades, y sobre cómo deberían adecuarse entre sí.
Palabras clave: Migración internacional, mano de obra, inflación estructural, dualismo económico, redes migratorias, sistemas migratorios, oferta, demanda, inversión familiar, flujo internacional, capital humano, políticas públicas, teoría macroeconómica, núcleo capitalista.
Abstract: International migration is emerging as a basic structural feature in nearly all industrialized countries and is a testament to the strength and coherence of “underlying forces” not understood or well known based on existing competing theories. Next paper is an explication of existing theories, strengths and weaknesses, and how they might fit together.
Key words: International migration, labor, dual economics, migration network, migration systems, demand, supply, household investment, international flow, human capital, public policy, macro theory, capitalist core.
_______________________________________
[1] Los autores son miembros del «IUSSP Committee on South-North Migration». El «Committee» está presidido por Douglas S. Massey, quien asume la responsabilidad principal de las aseveraciones expresadas en el texto presentado, no obstante las ideas, conceptos y conclusiones expresadas en el artículo son fruto del trabajo colectivo de todos los miembros del «Committee». El «Committee» acogerá con gratitud los comentarios y críticas de los lectores interesados. Trabajo publicado en Population and Development Review, Vol.19, n. 3, sep. 1993.