Resolución numérica de problemas de valores iniciales

Introducción

En muy pocos casos se puede encontrar la solución exacta de un problema de valores iniciales (p.v.i.) y, por tanto, es imprescindible establecer métodos aproximados de cálculo, entre los que se encuentran los basados en desarrollos en serie de potencias, en serie de Frobenius, etc, además de una categoría diferente formada por métodos numéricos.

Consideremos el problema de valores iniciales (p.v.i.) MATH donde MATH, MATH y MATH es continua en el dominio $D$, además de satisfacer una condición de Lipschitz respecto de $x$ con constante $L$, y MATH. Sea MATH la única solución de (c15:pvi1) y sea $b\in \QTR{Bbb}{R}$ tal que MATH. Los métodos numéricos se basan en la idea de discretización, es decir, en determinar valores aproximados de $x$ en el conjunto de nodos MATH definidos por MATH con MATH siendo $N\geq1$ dado. La longitud de paso $h$ determina la partición de $\left[ a,b\right] $. Si $x_{0}$, $x_{1}$, $\ldots$, $x_{N}$ son aproximaciones de MATH, MATH, $\ldots$, MATH, respectivamente, MATH es una solución numérica del p.v.i. (c15:pvi1).

Las hipótesis sobre $f$ se mantendrán mientras no se especifique otra cosa y no se hará en lo sucesivo referencia explícita a las mismas.

Algunos métodos

Los resultados establecidos sobre derivación e integración numéricas hacen posible construir diferentes métodos de generación de soluciones numéricas. Desarrollaremos algunos ejemplos, para lo que supondremos que $m=1$.

Via desarrollo de Taylor

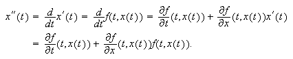
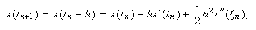
Si la solución $x$ fuese de clase dos, entonces, por la fórmula de Taylor con resto de Lagrange, se puede escribir MATH donde MATH. Como $x$ es solución de la ecuación diferencial, la igualdad (c15:euler1) se transforma en MATH igualdad cierta para $n=0,1,\ldots,N-1$. El método de Euler, o de Euler-Cauchy, consiste en aproximar los valores MATH mediante los $x_{n}$ generados por el siguiente procedimiento: MATH Su relación con el método de las poligonales de Euler es evidente.

?`Qué sucede si $x$ es de clase $r+1$? Aplicando la fórmula de Taylor de orden $r$ con resto de Lagrange obtenemos que MATH siendo $\xi_{n}$ un valor en MATH.

Como $x$ es solución del p.v.i., se cumple que MATH Si utilizamos la notación MATH podemos escribir MATH Por tanto, MATH y, si notamos MATH entonces MATH Análogamente, MATH donde MATH En general, para $1\leq s\leq r+1$, se verifica que MATH con MATH Entonces, definiendo MATH la igualdad (c15:taylor1) da lugar a MATH igualdad que sugiere generar las aproximaciones $x_{n}$ de MATH por medio del siguiente procedimiento: MATH Lo denominaremos método de Taylor de orden $r$.

Observemos que presenta un gran inconveniente, a saber, que hay que calcular cierto número de derivadas sucesivas de la solución del p.v.i. Sería, pues, conveniente desarrollar un procedimiento que produjese un error similar al que aparece en (c15:taylor1), pero que evitase calcular las derivadas de la solución del p.v.i. Por simplicidad, y dado que sólo estamos presentando algunos ejemplos concretos, supongamos $r=2$. Entonces, (c15:taylor1) se escribe como MATH donde MATH

Sean $\alpha$ y $\beta$ valores que determinaremos a posteriori. Hallemos el polinomio de Taylor de orden uno de la función MATH alrededor de $\left( t,x\right) $. Teniendo en cuenta que MATH podemos escribir MATH con MATH donde $\xi$ es un valor entre $t$ y $t+\alpha$ y $\eta$ uno entre $x$ y $x+\beta$.

Fijémonos en las expresiones para MATH y MATH. Si $\alpha=\frac12h$ y MATH, entonces MATH por lo que MATH En consecuencia, MATH donde MATH.

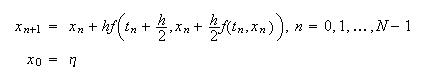
Podemos, por tanto, generar una solución numérica de (c15:pvi1) por medio del siguiente esquema: MATH Es el método de Euler corregido. Para calcular $x_{n+1}$ a partir de $x_{n}$ hay que evaluar dos veces la función $f$.

Via integración numérica

Hemos visto cómo la técnica empleada para establecer el método de Euler puede seguirse para encontrar los métodos de Taylor y cómo es posible, al menos en el caso que hemos desarrollado, producir un método con un error similar pero para el que no hay que calcular derivadas.

Vamos a proceder de un modo totalmente diferente para establecer otro método para generar una solución numérica.

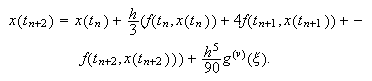
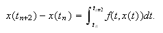
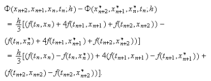
De nuevo, sea $x$ la única solución del p.v.i (c15:pvi1). Consideremos un subintervalo cualquiera MATH. Como MATH para MATH, se cumple que MATH es decir, MATH Consideremos ahora la función $g\left( t\right) =$ MATH, que no es conocida al no disponer de $x$. La fórmula de Simpson permite escribir MATH por lo que MATH Es razonable generar una solución numérica del p.v.i. (c15:pvi1) mediante el siguiente procedimiento, en que se usa la notación MATH: MATH Es el denominado método de Simpson.

Claramente, en los métodos de Euler, Taylor y Euler corregido que hemos desarrollado el cálculo del término $x_{n+1}$ de la solución numérica se basa en el conocimiento del $x_{n}$; la sucesión MATH se calcula secuencialmente a partir $x_{0}=\eta$, haciendo $n=0,1,\ldots,N-1$ en las ecuaciones en diferencias de (c15:euler2), (c15:taylor2) y (c15:eulercorregido), respectivamente. En el método de Simpson (c15:simpson) el término $x_{n+2}$ de la solución numérica se calcula a partir de los dos precedentes, por lo que será necesario proporcionar un valor inicial adicional, $x_{1}$, antes de que la sucesión MATH pueda ser calculada.

Si el método es tal que, dados $x_{n+j}$, $j=0,1,\ldots,k-1$, se determina $x_{n+k}$ explícitamente, el método se dice explícito; éste es el caso de los métodos de Euler, Taylor y Euler corregido que hemos considerado. Si, por el contrario, el valor $x_{n+k}$ no puede ser calculado sin resolver un sistema de ecuaciones implícito, como es el caso del método de Simpson, entonces el método se dice implícito. Como la función $f$ es, en general, no lineal en $x$, en los métodos implícitos hay que considerar la resolución de un sistema no lineal de ecuaciones en cada paso de los cálculos, y son, por tanto, computacionalmente más costosos que los métodos explícitos. Observemos, por último, que en la ecuación en diferencias para el método de Simpson intervienen sólo combinaciones lineales de $x_{n+j}$, MATH, $j=0,1,\ldots,k$.

Los métodos desarrollados, salvo los de Taylor, son aplicables para resolver p.v.i. correspondientes a sistemas diferenciales, es decir, en el caso $m>1$.

Nociones generales

Tras considerar algunos métodos específicos, es hora de precisar la noción de método numérico, para lo que debemos tener en cuenta cómo en aquéllos cada término de la solución numérica se calcula a partir de algún subconjunto $x_{n-1}$, $x_{n-2}$, $\ldots$, $x_{n-k}$ de valores calculados, lo que implica conocer $x_{0}$, $x_{1}$, $\ldots$, $x_{k-1}$. Adoptamos el procedimiento seguido en [Stetter], adonde remitimos para las demostraciones de los resultados que se especificarán..

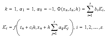
Definición.-

Un método numérico de $k$ pasos para el p.v.i. (c15:pvi1) está constituido por valores iniciales MATHy una ecuación en diferencias de la forma MATHdonde $\alpha _{0}$, $\alpha _{1}$, $\ldots $, $\alpha _{k}$ son números reales y $\Phi $ una función -dependiente de $f$ y $h$- definida en un subconjunto de $\QTR{Bbb}{R}^{k+2}$ que verifica las siguientes propiedades:

    1. Si $f=0$ entonces $\Phi =0$.

    2. Existe una constante $M$ tal que MATH

    Si $x_{n+k}$ aparece en MATH el método (c15:pvi3) se dice implícito, y explícito en caso contrario.

  • Por ejemplo, para el método de Euler MATH y MATH por lo que basta con tomar $M=hL$.

    Para el método de Simpson, MATH y MATH Por tanto, MATH y podemos tomar $M=\frac{4h}3L$.

    Finalmente, para el método de Euler corregido, MATH y MATH de donde se deduce que, por ejemplo, MATH.

    Nótese que sólo hemos utilizado el que $f$ satisface, por hipótesis, una condición de Lipschitz respecto de $x$ y la desigualdad triangular para la norma MATH, que es arbitraria.

    El método (c15:pvi2 )-(c15:pvi3) debe comportarse bien cuando $h$ tiende a cero para ser útil.

    Definición.-

    Diremos que (c15:pvi2 )-(c15:pvi3) es un método convergente si para todos los p.v.i. (c15:pvi1) y cualesquiera condiciones iniciales (c15:pvi2) para las que MATHse cumple que MATHpara todas las soluciones numéricas MATH generadas por aquél. Un método que no es convergente se dice divergente.

    Frecuentemente se toma como definición de convergencia el que MATH Es equivalente, pero no se aprecia en ella la necesidad de considerar límite para $h\rightarrow0$ con $t=a+nh$ fijo.

    Si el método es convergente los errores globales MATH tienden a cero.

    Determinar la convergencia de un método numérico no es fácil, por lo que es importante disponer de criterios que la garanticen.

    Definición.-

    Se define el error de truncatura local $R_{n+k}$ como MATH

    Mide si el método (c15:pvi3) es una representación lo suficientemente exacta del sistema diferencial de (c15:pvi1).

    Definición.-

    El método (c15:pvi3) se dice consistente (con el sistema diferencial de (c15:pvi1)) si para todos los p.v.i. (c15:pvi1) se cumple que MATH

    La consistencia se expresa en términos de $\Phi$, $f$ y $\alpha_{j}$, $0\leq j\leq k$.

    Proposición.-

    El método (c15:pvi3) es consistente si

    1. MATH

    2. MATH

  • Definición.-

    Definimos el primer polinomio característico $\rho $ del método (c15:pvi3) como MATH

    La condición (c15:pvi4) equivale a MATH y (c15:pvi5) a MATH

    La convergencia de un método implica su consistencia. El recíproco no es cierto: el método puede ser muy sensible a las perturbaciones de $\Phi$ y MATH. La perturbación MATH y la solución perturbada MATH del método (c15:pvi2 )-(c15:pvi3) se definen por medio de las igualdades MATH

    Definición.-

    Sean MATH y MATH cualesquiera dos perturbaciones de (c15:pvi2 )-(c15:pvi3), y sean MATH y MATH sus respectivas soluciones perturbadas. Se dice que el método (c15:pvi3) es cero-estable si existen constantes $S$ y $h_{0}$ tales que, para todo MATH, se cumple que MATHcuando MATH

    La cero-estabilidad se refiere al comportamiento del método en lo que respecta a las perturbaciones cuando $h$ tiende a cero, y es una propiedad del método. Los errores debidos a la discretización pueden considerarse perturbaciones, así como los errores de redondeo.

    ?`Cuándo se da la cero-estabilidad?

    Teorema.-

    El método (c15:pvi2 )-(c15:pvi3) es cero-estable si y sólo si todas las raíces del primer polinomio característico tengan módulo menor o igual que la unidad, y que las de módulo unidad sean simples.

    Los conceptos de convergencia, consistencia y cero-estabilidad se relacionan del siguiente modo:

    Teorema.-

    El método (c15:pvi3) es convergente si y sólo si es consistente y cero-estable.

    Métodos lineales

    Algunos de los métodos enumerados al comienzo comparten una propiedad y es que MATH es una combinación lineal de los valores MATH, MATH, $\ldots$, MATH. Son casos particulares de una familia de métodos. Emplearemos la notación MATH, como ya hicimos anteriormente.

    Definición.-

    Llamaremos método lineal multipaso o método de $k$ pasos a cualquier método (c15:pvi3) de la forma MATHdonde $\alpha _{j}$ y $\beta _{j}$, $0\leq j\leq k$, son constantes tales que $\alpha _{k}=1$ y MATH.

    El que las estructuras de ambos términos de (c15:mmp1) sean iguales sugiere definir un polinomio similar a $\rho$.

    Definición.-

    Se define el segundo polinomio característico de (c15:mmp1) como MATH

    Si $\beta_{k}\neq0$ el método es implícito y la determinación de $x_{n+k}$ se reduce a resolver un sistema no lineal de la forma MATH donde $g$ es una expresión conocida de los valores $x_{n+j}$ previamente calculados. Este sistema tiene una única solución si $h$ se elige de modo que MATH donde $L$ es una constante de Lipschitz de $f$. La solución se determina por iteraciones sucesivas.

    El error de truncatura local definido en (c15:pvi3bis ) adopta la expresión MATH donde MATH Si $z$ es suficientemente derivable, MATH con MATH

    Definición.-

    El método (c15:mmp1) se dice de orden $p$ si MATH y $C_{p+1}\neq 0$. En este caso, $C_{p+1}$ se llama constante de error.

    Si el método es de orden $p$, el error de truncatura local es del orden MATH y los errores globales MATH. A priori, es deseable establecer métodos del mayor orden posible, aunque hay limitaciones ligadas al número de pasos.

    Teorema.-

    Ningún método lineal de $k$ pasos puede tener orden que exceda el valor $k+1$ (resp. $k+2$) si $k$ es impar (resp. par).

    Métodos numéricos vía integración numérica

    La integración numérica permite construir métodos lineales multipaso de una manera sistemática, como ya vimos al establecer el método de Simpson. Una estrategia consiste en emplear la igualdad MATH y aproximar numéricamente la integral de la función MATH empleando su polinomio de interpolación en los nodos equidistantes $t_{n-k}$, $t_{n-k+1}$, $\ldots$, $t_{n-1}$, $t_{n}$, con $k\geq0$.

    Definición.-

    Los métodos multipaso de la forma MATHcon MATHse denominan métodos de Adams-Bashforth.

    Son explícitos de $k+1$ pasos. Se evita el cálculo individual de las integrales que definen los coeficientes $\gamma_{j}$, $1\leq j\leq k$, teniendo en cuenta que MATH

    Evidentemente, los métodos (c15:mmp2 )-(c15:mmp3) se pueden reescribir en la forma MATH

    Si a los nodos empleados para establecer la familia de métodos de Adams-Bashforth añadimos $t_{n+1}$ surge una nueva familia de métodos multipaso.

    Definición.-

    Los métodos multipaso de la forma MATHcon MATHse denominan métodos de Adams-Moulton.

    Son implícitos de $k+1$ pasos. Los coeficientes $\gamma_{j}^{*}$, $1\leq j\leq k$, se hallan a través de la relación MATH

    Los métodos de Adams-Bashforth y Adams-Moulton adoptan expresiones del tipo (c15:mmp1) sin más que efectuar los cambios de índice adecuados. Su primer polinomio característico es MATH. Son convergentes.

    La utilización de la igualdad MATH con $r=1$ origina los métodos explícitos de Nyström MATH y los implícitos de Milne-Simpson MATH cuyos coeficientes se relacionan con los $\gamma_{j}$ y $\gamma_{j}^{*}$. Su primer polinomio característico es MATH. También son convergentes.

    Se indicó la suficiencia de la condición MATH para garantizar la convergencia del método de las aproximaciones sucesivas para determinar $x_{n+k}$ del método (c15:pvi3) cuando es implícito. En el caso del multipaso MATH da lugar a la iteración MATH El valor MATH, que es arbitrario, puede ser obtenido a partir de un método multipaso explícito MATH

    El uso conjunto de los métodos (c15:PrCo1 )-(c15:PrCo2) constituye un método predictor-corrector. Los métodos (c15:PrCo1) y (c15:PrCo2) se eligen del mismo orden y los de tipo Adams constituyen una elección habitual.

    Métodos de Runge-Kutta

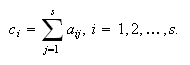
    Todos los métodos enumerados inicialmente como modelos son lineales multipaso ya descritos excepto el de Euler corregido. Pertenece a una categoría diferente de métodos, que se motivan muy bien considerando la versión escalar ($m=1$) del problema (c15:pvi1) y haciendo uso del desarrollo de Taylor MATH El conocimiento de las expresiones exactas de MATH, $k\geq1$, a partir de MATH y sus derivadas sucesivas conduce a los métodos de Taylor MATH con MATH siendo MATH Son métodos de un paso, convergentes si se hacen las hipótesis oportunas sobre la lipschitzianidad de $f$ y sus derivadas sucesivas. El intento de evitar el uso de derivadas sucesivas conduce a los métodos de Runge-Kutta, que responden a la formulación general (para sistemas diferenciales) MATH donde MATH El valor $s$ indica el número de evaluaciones de $f$ que hay que efectuar.

    La idea subyacente consiste básicamente en considerar $s$ números ordenados del $0$ al $1$ de la forma MATH y en emplear la subdivisión MATH del subintervalo MATH. Supondremos que se verifica la condición MATH

    El método de Runge-Kutta (c15:RK1 )-(c15:RK3) se representa por medio de la tabla MATH Será un método explícito si $a_{ij}=0$ para $j\geq i$, $i=1,2,\ldots,s$.

    Están en la clase de métodos dada por (c15:pvi3), con MATH Su convergencia dependerá de su consistencia.

    Proposición.-

    El método (c15:RK1 )-(c15:RK3) es consistente si y sólo si MATH.

    Si el método es consistente, entonces el error de truncatura local es MATH.

    Valores moderados de $s$ conducen a algunos métodos explícitos particulares.

    1. $s=2$

      1. Método de Euler modificado MATH

      2. Método de Euler mejorado MATH

    2. $s=3$

      1. Método de Heun MATH

      2. Método de Kutta MATH

    3. $s=4$ Método clásico de Runge-Kutta MATH