Derivación e integración numéricas

Introducción

A veces es necesario calcular el valor, MATH, que el funcional $\QTR{cal}{L}$ asigna a la función $f$ perteneciente a un conjunto $\QTR{cal}{F}$. Algunos ejemplos son los siguientes:

En todos los casos, $\QTR{cal}{L}$ será un funcional lineal, es decir, MATH para cualesquiera elementos $f$ y $g$ del conjunto $\QTR{cal}{F}$, y, MATH, siendo $\alpha$ un escalar real arbitrario y $f$ perteneciente a $\QTR{cal}{F}$.

En muchas situaciones prácticas no será posible obtener explícitamente el valor de MATH. Por ejemplo, si la variación de la concentración de un reactivo es proporcional a la concentración existente en cada instante, resolviendo la ecuación diferencial conocemos que la curva solución es de tipo exponencial. Pero, ?`cuánto vale la pendiente en $t=1$ de la curva que representa a la concentración si lo único que podemos medir es la concentración en cada instante?, es decir, ?`cómo podemos calcular MATH? No conocemos una expresión explícita de la función $f.$ Aunque el problema más frecuente es que se necesite conocer el valor de una derivada primera o, a lo sumo, la segunda, en un punto $a$, también puede que se necesite calcular una derivada de orden superior, MATH, es decir que MATH, y no se conoce una expresión explícita de $f$ (o, caso de conocerla, es excesivamente compleja). Posiblemente sólo se conozca el valor de $f$ en puntos próximos al $a$, incluso en el propio $a.$ Ello servirá para aproximar el valor de MATH. Es un problema de derivación numérica.

Otro ejemplo. Sabemos que la función $f(x)=\frac1xe^{x}$ es continua en el intervalo $\left[ 1,3\right] $. Pero, ?`cómo podemos calcular MATH? ?`Y MATH? No existe una primitiva de $f$ que se exprese en términos elementales. En general, en muchas ocasiones hay que calcular el valor MATH para una función $f$ integrable en $\left[ a,b\right] $, de la que no se conoce una primitiva y, por tanto, no podemos aplicar la regla de Barrow. Posiblemente se conozca el valor que $f$ toma en varios puntos del intervalo $\left[ a,b\right] $, a veces en todos los puntos del intervalo, incluso puede que el valor de derivadas de $f$ en puntos del mismo. Esos datos nos servirán para aproximar el valor de MATH Es un problema de integración numérica.

Podríamos dar más ejemplos, correspondientes a otros funcionales $\QTR{cal}{L}$, pero son los dos anteriores, derivación e integración, los más interesantes. En cualquier caso, desde el punto de vista de la aproximación de MATH mediante fórmulas de tipo interpolatorio, el tratamiento sería idéntico en todos los casos: aproximar $f$ por un interpolante, $p$, y tomar como aproximación de MATH el valor MATH Ni que decir tiene que el espacio interpolador al que pertenece $p$ debe estar constituido por funciones sencillas de forma que sea posible calcular MATH.

Fórmulas de tipo interpolatorio

Los polinomios son funciones muy sencillas de derivar y de integrar, por lo que son muy utilizados como interpolantes para obtener fórmulas de derivación e integración numéricas. Por ejemplo, si se dispone de datos lagrangianos, podemos aproximar MATH mediante el que $\QTR{cal}{L}$ asigna al polinomio de interpolación de $f$. Más concretamente, conocidos los valores que $f $ toma en los nodos (distintos) $x_{0}$, $x_{1}$, $\ldots$, $x_{n}$, sea MATH el único polinomio tal que MATH, $0\leq i\leq n$; entonces MATH es una fórmula de tipo interpolatorio para $\QTR{cal}{L}$ en $\QTR{Bbb}{P}_{n}$ cuyos nodos son $x_{0}$, $x_{1}$, $\ldots$, $x_{n}$.

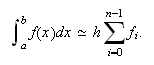
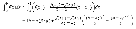
Supongamos, por ejemplo, que $p$ es el polinomio de grado menor o igual que uno que interpola a la función $f$ en los puntos $x_{0}=4$ y $x_{1}=6$. Entonces MATH y, si MATH, podemos hacer MATH

Tendríamos así una primera fórmula de integración numérica, de tipo interpolatorio en $\QTR{Bbb}{P}_{1}$, cuyos nodos son $4$ y $6 $ (normalmente los nodos pertenecen al intervalo $\left[ a,b\right] $).

Sin embargo, si MATH, se tiene MATH Es una fórmula de derivación numérica, con dos nodos, que permite aproximar MATH a partir del valor de $f$ en los puntos $4$ y $6$.

Tanto para las fórmulas de integración como las de derivación numérica, los datos más habituales son los valores de la función en puntos distintos, llamados nodos de la fórmula. El espacio interpolador suele ser el de los polinomios de grado menor o igual que $n$ si hay $n+1$ datos. No obstante, podría utilizarse otro espacio interpolador y los datos podrían ser distintos. Por ejemplo, para aproximar la integral podrían usarse algunos datos derivada. En lo que sigue, salvo que se especifique otra cosa, el espacio interpolador será $\QTR{Bbb}{P}_{n}$ y los datos serán lagrangianos, correspondientes a $n+1$ nodos.

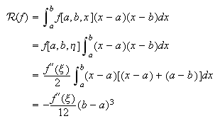
El error de truncamiento, MATH, cometido al aproximar MATH mediante la fórmula de tipo interpolatorio (c11:fti) es MATH Como es conocido, $f-p$ es el error de interpolación.

Fórmulas de derivación numérica

En primer lugar, suponemos que es necesario aproximar la derivada primera de $f$ en un punto $a$, es decir MATH. Vamos a obtener fórmulas con dos y tres nodos (con un solo nodo $x_{0}$ se tiene MATH y, por tanto sería MATH, fórmula que carece de interés por dar la misma aproximación para todas las funciones y para todo punto $a$).

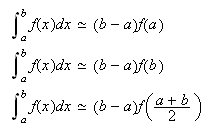
Con dos nodos, $x_{0}$ y $x_{1}$, se tiene que MATH y, por tanto, la fórmula de derivación numérica es MATH

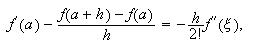
Es razonable que los nodos sean próximos a $a$.. Si $x_{0}=a$ y $x_{1}=a+h$ (con $h\neq0$), la fórmula es MATH Si $h$ tiende a cero, la aproximación tiende al valor exacto cuando $f$ es derivable en $a$; por tanto, para $h$ muy pequeño, la aproximación será buena cuando no se produzcan errores al evaluar $f$ ni en las operaciones.

Si $x_{0}=a-h$ y $x_{1}=a+h$, la fórmula resultante es MATH

Con tres nodos, $x_{0}$, $x_{1}$y $x_{2}$, las siguientes son las tres elecciones más importantes:

Del mismo modo podrían calcularse fórmulas con cuatro, cinco o más nodos.

A continuación vamos a ver fórmulas de tipo interpolatorio para la derivada de orden $2$, es decir, MATH. Debe haber tres o más nodos pues con dos el polinomio es de grado uno y su derivada segunda es nula para toda función $f$ y para todo punto $a$.

Con tres nodos, $x_{0}$, $x_{1}$ y $x_{2}$, el polinomio de interpolación $p$ es MATH con lo cual MATH. Indicamos a continuación las tres elecciones más frecuentes.

El proceso para las demás fórmulas de derivación numérica, tanto si es de orden superior a dos (digamos $k$) como si los nodos son diferentes de los considerados anteriormente, es totalmente análogo: se calcula el polinomio de interpolación y se halla su derivada de orden $k$ en el punto $a$. Posteriormente daremos otras fórmulas.

Error de las fórmulas de derivación numérica

Teniendo en cuenta la expresión del error de interpolación en términos de diferencias divididas, el error,MATH, de la fórmula de tipo interpolatorio (c11:fti) se expresa como MATH Por tanto, teniendo en cuenta que las derivadas sucesivas de la diferencia dividida MATH son MATH y, en general, MATH y que si MATH, se verifica que MATH donde MATH, es fácil dar expresiones del error de derivación numérica en función de cierta derivada de $f$ en un punto $\xi$. Sin embargo, en el caso de las fórmulas de derivación numérica es fácil aprovechar el desarrollo de Taylor de la función $f$ para obtener una expresión del error. Por ejemplo, a partir de la fórmula MATH se deduce que MATH con lo cual tenemos el error para la fórmula (c11:fdn0).

Análogamente, restando los desarrollos MATH se tiene que MATH con MATH, es decir, la expresión del error asociado a la fórmula de derivación numérica (c11:fdn1).

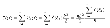
De igual forma, se obtienen expresiones para las restantes fórmulas de derivación numérica, aunque en algunos casos no es posible agrupar todos los restos de Taylor en un solo sumando. No obstante, en todas las fórmulas de derivación numérica, el error (de truncatura) es proporcional a una potencia de $h$ igual o superior a $1$. Así, cuando $h\rightarrow0$ el error de truncatura tiende a cero, pero al mismo tiempo estas fórmulas contienen diferencias en el numerador de cantidades muy similares con lo que aparecen los errores de cancelación, además del error de redondeo cometido al efectuar las operaciones del numerador. El error total cometido al evaluar el numerador, digamos de valor $\varepsilon$, estará dividido por $h$ (o bien por $2h$, o por $h^{2}$, etc.). Por tanto, al ser $h$ pequeño, el cociente adquiere un valor muy grande. En consecuencia, mientras que para la truncatura es beneficioso disminuir $h$ para el redondeo ocurre lo contrario. El valor óptimo de $h$ es el que minimiza el error total, es decir la suma del error de truncatura y el de redondeo (incluido en el mismo el de cancelación). Así, para (c11:errorfdn1), si $M$ es una cota de la derivada tercera de $f$, el error total MATH verifica que MATH

El mínimo del miembro de la derecha se alcanza cuando MATH es decir, para MATH Por tanto, este valor de $h$ será bueno para aplicar dicha fórmula de derivación numérica, pero valores mucho menores que él pueden conducir a estimaciones pésimas de la derivada.

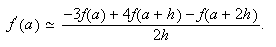
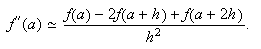
A continuación recogemos varias fórmulas de derivación numérica para $f^{\prime}(a),$ con sus respectivos errores de truncatura (supuesto que se aplica a una función suficientemente regular): MATH en lo que respecta la derivación de segundo orden, disponemos de las siguientes: MATH

Fórmulas de Integración numérica: Fórmulas simples

Supongamos ahora que el funcional lineal es MATH

La fórmula de integración numérica basada en un nodo, $x_{0}$, se obtiene integrando el polinomio de interpolación MATH en el intervalo $\left[ a,b\right] $: MATH

Gráficamente, si $f$ es no negativa, lo que se hace es aproximar el área debajo de la curva MATH, comprendida entre $x=a$ y $x=b,$ por el área del rectángulo de base $b-a$ y altura MATH (ver figura c11g1 ).
c11g1.wmf
Interpretación gráfica de la fórmula del rectángulo.

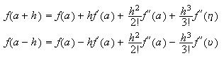
Si $x_{0}=a$, se denomina fórmula del rectángulo izquierda ; si $x_{0}=b$, fórmula del rectángulo derecha y fórmula del punto medio si $x_{0}=\frac{a+b}2$. Son las siguientes, respectivamente: MATH

Con dos nodos, $x_{0}$ y $x_{1}$, el polinomio de interpolación es MATH. La correspondiente fórmula de integración numérica es MATH

Si $x_{0}=a$ y $x_{1}=b$, es la fórmula del trapecio (ver figura c11g2): MATH
c11g2.wmf
Interpretación geométrica de la regla del trapecio.

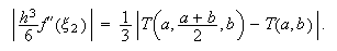
Con tres nodos se tiene una de las fórmulas más importantes en la integración numérica: la de Simpson. Corresponde a $x_{0}=a$, $x_{1}=\frac{a+b}2$ y $x_{2}=b$ (interpolación en $\QTR{Bbb}{P}_{2}$). La fórmula de Lagrange para el polinomio de interpolación es MATH Sustituyendo los valores concretos de los nodos e integrado entre $a$ y $b$, se obtiene MATH Obsérvese que el peso en el nodo central es cuatro veces el peso en los extremos.

Para una fórmula de tipo interpolatorio el número de nodos de interpolación puede ser mucho mayor que el usado antes. Además, los nodos pueden ser diferentes; por ejemplo, nada nos impide para aproximar la integral entre $\left[ 1,3\right] $ usar los nodos $x_{0}=1.35$ y $x_{1}=2.9$ en lugar de los correspondientes a la fórmula del trapecio. Incluso, en lugar de interpolar en $\QTR{Bbb}{P}_{n}$, podemos utilizar otro espacio de funciones (polinomios trigonométricos, funciones spline, etc.). En definitiva, una infinidad de posibilidades diferentes.

Error para las fórmulas simples de integración numérica

Como ya dijimos, el error, MATH, viene dado por la integral del error de interpolación: MATH Deseamos encontrar una expresión en la que aparezca el error en función de alguna derivada de $f$.

El teorema del valor medio del cálculo integral permite extraer uno de los factores del integrando siempre que sea continuo en $\left[ a,b\right] $ y el que quede dentro sea integrable y no cambie de signo. En otros términos, si MATH, $g$ es integrable en $\left[ a,b\right] $ y MATH o MATH MATH, entonces existe MATH tal que MATH.

En la expresión del error de integración numérica deseamos extraer del signo integral la diferencia dividida MATH. Para ello se necesita que MATH no cambie de signo en $\left[ a,b\right] $. Ello ocurre, por ejemplo, para las fórmulas del rectángulo y trapecio, pero no para las del punto medio y de Simpson. Veamos el error en todas ellas.

Para la fórmula del rectángulo a la izquierda, el error es MATH Análogamente, para la del rectángulo a la derecha,

MATH

Para la fórmula del trapecio,

MATH

Para la del punto medio, MATH Ahora bien, la función $x-\frac{a+b}2$ cambia de signo en $\left[ a,b\right] $. No obstante, teniendo en cuenta la ley de recurrencia de las diferencias divididas, como MATH se deduce que MATH

La última expresión es válida para todo $\overline{x}.$ Sustituyéndola en el integrando de (c11:errorfin0) y dando a $\overline{x}$ el valor $\frac{a+b}2$, se tiene que MATH Como MATH, MATH

En lo que respecta al error de truncatura para la fórmula de Simpson, hay que introducir un nodo auxiliar, MATH, en la diferencia dividida para conseguir un integrando que no cambie de signo. Operando como para la fórmula del punto medio, obtenemos la expresión MATH

En todas las fórmulas anteriores el error es proporcional a una potencia de la longitud del intervalo de integración. Si el intervalo de integración es pequeño podemos esperar que el error sea pequeño, pero si es grande no tenemos esa garantía.

Fórmulas de Newton-Cotes

El intervalo de integración $\left[ a,b\right] $ se puede dividir en $n$ subintervalos de igual longitud, $h=\frac{b-a}n$. Entonces, si elegimos como nodos los puntos $x_{i}=a+ih$, $i=1,\ldots,n-1$, la fórmula obtenida se denomina de Newton-Cotes abierta con $n-1$ nodos. Por ejemplo, con $n=2$ se obtiene la fórmula de Newton-Cotes con un solo nodo, que es la fórmula del punto medio.

Si elegimos como nodos los puntos $x_{i}=a+ih$, $i=0,\ldots,n$, la fórmula obtenida se denomina de Newton-Cotes cerrada con $n+1$ nodos. Por ejemplo, con $n=1$ se obtiene la fórmula de Newton-Cotes con dos nodos, que es la fórmula del trapecio. Con $n=2$ se obtiene la de Simpson.

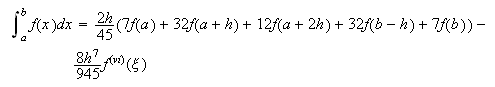
Otras fórmulas de Newton-Cotes, y sus errores de truncatura, son las siguientes:

Podríamos dar muchas más fórmulas de Newton-Cotes, pero es conocido que la interpolación lagrangiana sobre puntos igualmente espaciados no es convergente (ejemplo de Runge). Luego no es recomendable usar una fórmula de Newton-Cotes con muchos nodos para obtener gran precisión.

Sin embargo, como la integral es aditiva, podemos descomponer el intervalo de integración en $n$ subintervalos mediante una partición uniforme del mismo con nodos $x_{i}=a+ih$, $i=0,\ldots,n$, y expresar la integral en $\left[ a,b\right] $ como suma de integrales en los intervalos inducidos por la partición: MATH

Si $n$ es grande los intervalos de integración son pequeños con lo cual el error al aplicar una fórmula de integración en cada uno puede que sea pequeño. El error total de truncatura es la suma de los errores en cada subintervalo. Veremos posteriormente que su valor tiende a cero cuando $n\rightarrow\infty$.

Fórmulas compuestas

Las fórmulas compuestas son las obtenidas al aplicar una misma fórmula simple de integración numérica a cada uno de los sumandos de (c11:aditividad). Damos algunas a continuación (para simplificar, notamos MATH, MATH).

Error en las fórmulas compuestas

El error, MATH, de una fórmula compuesta es la suma de los errores, MATH, cometidos en cada subintervalo MATH al aplicar la fórmula simple correspondiente. Por ejemplo, para la fórmula compuesta resultante al aplicar la del rectángulo a la izquierda el error de truncatura es

MATH Ahora bien, la última fracción es la media aritmética de los valores de la función $f^{\prime}$ en los $n$ puntos $\xi_{i}$. Como es un valor comprendido entre el máximo y el mínimo de ellos, si $f^{\prime}$ es continua el teorema del valor intermedio garantiza la existencia de un punto $\xi$, comprendido entre los $\xi_{i}$, tal que MATH y, por tanto, MATH Si $f^{\prime}$ está acotada, MATH cuando $h\rightarrow0$.

Análogamente se obtiene el error para las demás fórmulas compuestas. La expresión del error en la compuesta será similar al error de la fórmula simple en un intervalo de longitud $h$ (con el valor $\xi$ perteneciente a todo el intervalo $\left[ a,b\right] $) multiplicada por $n$. A continuación recogemos algunos de ellos.

Por tanto, si $f$ es de la regularidad que aparece en cada caso, la convergencia está asegurada ya que al tender $h$ a cero (MATH) el error de truncatura tiende a cero.

Orden de precisión de las fórmulas de tipo interpolatorio

Si $f$ es un polinomo de grado menor o igual que $n$ al ser interpolada por un polinomio $p$ de $\QTR{Bbb}{P}_{n}$ se obtiene la misma función, $p=f$, con lo cual el error de la fórmula para dicha función es MATH. Es decir, las fórmulas de tipo interpolatorio son exactas para toda función de $\QTR{Bbb}{P}_{n}$. Luego su orden de precisión es mayor o igual que $n.$ Para saber el orden exacto sólo tendremos que calcular el error que se comete con las funciones $x^{n+k}$ (o bien con las funciones $(x-c)^{n+k}$), para $k=1,2,..$ hasta que dicho error sea distinto de cero. Por ejemplo, la fórmula del rectángulo (exacta en $\QTR{Bbb}{P}_{0} $) da error diferente de cero para la función $x-a$, ya que MATH Su orden de precisión es cero. Sin embargo, para la fórmula del punto medio se cumple que MATH y MATH, con la que la fórmula del punto medio tiene orden de precisión $1$. Esto ya se sabía sin más que observar la expresión del error. En la del rectángulo aparece la derivada primera de la función mientras que en la del punto medio interviene la derivada segunda. Es inmediato comprobar que la fórmula del trapecio tiene orden de precisión $1$ y que la de Simpson tiene orden de precisión 3. Análogamente, la fórmula de derivación numérica MATH tiene orden de precisión $1$, mientras que MATH tiene orden de precisión $2 $. Es decir, algunas elecciones de nodos son mejores que otras, puesto que con un solo nodo tenemos unas fórmulas de integración numérica que tienen orden de precisión cero y otra con precisión $1$; en derivación numérica, con dos nodos hay fórmulas con precisión $1$ y otra con precisión$2$, etc.

El orden de precisión es en todas ellas al menos $n,$ pero ?`cuánto más puede aumentar con una elección adecuada de los nodos? Suponiendo que los datos de interpolación son todos lagrangianos, en las fórmulas para la derivada primera no se puede aumentar el orden más allá del valor $n+1$. Además, si MATH, de (c11:errorfdn0) y (c11:errorfdn0a) se deduce que MATH Se necesita que MATH para conseguir el orden $n+1.$ Para aumentar más se necesitaría que MATH por lo que $a$ sería un cero doble de MATH y, por tanto, tendríamos como dato el propio valor de MATH.

Veremos a continuación que, en lo que respecta a la integración numérica, es posible aumentar más la precisión.

Fórmulas gaussianas de integración numérica.

Consideremos una fórmula de integración numérica de tipo interpolatorio con $n+1$ nodos, MATH

Teorema.-

El orden de precisión de la fórmula de tipo interpolatorio (c11:fin) es inferior a $2n+n$.

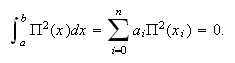
Demostración.- Si el oreden fuese igual o superior a $2n+n$ no se cometería error para la función MATH, es decir,

. MATH Pero dicha integral es mayor que cero, puesto que MATH y MATH. $\Box$

Teorema.-

El orden de precisión de la fórmula de tipo interpolatorio (c11:fin) es $n+k$, $k>0$, si y sólo si MATH

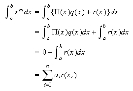
Demostración.- Condición necesaria. Si el orden de precisión es $n+k$, la fórmula es exacta para las funciones MATH, para $0\leq j\leq k-1$, ya que todas ellas pertenecen a $\QTR{Bbb}{P}_{n+k}$. En consecuencia, MATHporque MATH para $i=0,...,n$.

Condición suficiente. Sea $0\leq m\leq n+k$. La función $x^{m} $ dividida por MATH da un cociente MATH y un resto MATH, de forma que MATH. Entonces MATH Pero MATH, por lo que MATH

Es inmediato que la fórmula no es exacta para la función $x^{n+k+1}$. $\Box$

Por el teorema c11:gaussiana1 el valor máximo de $k$ es $n+2$, para alcanzar la precisión $2n+1$, pero ?`será posible? Se requiere, según el teorema c11:gaussiana2 que MATH verifique las igualdades MATH es decir, que MATH sea el polinomio ortogonal de grando $n+1$ con respecto al producto escalar MATH, que existe y es único salvo un factor multiplicativo. Además, sabemos que todas las raíces de dicho polinomio son reales, simples e interiores al intervalo de integración. Así, tenemos el siguiente resultado:

Teorema.-

Existen $n+1$ nodos $x_{i}$, únicos, todos interiores al intervalo $\left[ a,b\right] $ tales que la fórmula de cuadratura de tipo interpolatorio correspondiente alcanza orden de precisión $2n+1$.

A dicha fórmula se le denomina fórmula de Gauss con $n+1$ nodos. Para construirla hemos de obtener primero el polinomio ortogonal de grado $n+1$, después calcular sus raíces (que son los nodos de la fórmula) y finalmente obtener los coeficientes de la fórmula.

La fórmula gaussiana más simple, con un solo nodo, es la del punto medio; su orden de precisión es $2\cdot0+1=1$. Con dos nodos en el intervalo MATH el polinomio ortogonal de grado $2$ es $x^{2}-\frac13$; sus raíces son $\pm\sqrt{1/3}$ y la fórmula gaussiana correspondiente es MATH Para la gaussiana con $3$ nodos el polinomio ortogonal es $x^{3}-3x/5$ y sus raíces son $\pm\sqrt{3/5}$ y $0$. Interpolando en esos puntos e integrando se obtiene la fórmula MATH

Si el intervalo es distinto del MATH basta efectuar un cambio de variable para obtener la fórmula correspondiente.

En lo que concierne al error relativo a las fórmulas gaussianas, realizando el mismo procedimiento utilizado para calcular el error de la fórmula del punto medio (escribir la diferencia dividida con un nodo más, aprovechando la ley de recurrencia), solo que repitiéndolo tantas veces como nodos tiene la fórmula, se llega a la siguiente expresión para la fórmula con $n+1$ nodos: MATH

Formulas Gaussianas con función peso

Si tuviésemos que aplicar una fórmula de integración numérica a un conjunto de muchas funciones que tienen un factor común $w$, siendo $w$ mayor que cero salvo a lo sumo en un conjunto finito de puntos (incluso en un conjunto infinito pero de medida nula), sería interesante no tener que evaluar dicho factor en los nodos de la fórmula sino repercutir su efecto en los coeficientes de la misma. Esto se consigue mediante una fórmula del tipo MATH Suponemos que es posible calcular las integrales MATH.

Si se verifica que MATH siendo MATH MATH, $i=0,\ldots,n$, tenemos una fórmula de integración numérica con función peso $w$. Son fórmulas de tipo interpolatorio y, por tanto, tienen orden de precisión mayor o igual que $n$. Eligiendo de nuevo los nodos de forma adecuada puede conseguirse mayor orden. De hecho toda la teoría correspondiente a las fórmulas gaussianas es idéntica, sólo que en los integrandos aparece siempre el factor $w(x)$. Así, es posible alcanzar la precisión $2n+1$ eligiendo como nodos los ceros del polinomio ortogonal de grado $n$ con respecto al producto escalar MATH

Dependiendo de $w$ y del intervalo considerado, existen algunas fórmulas con función peso que tienen nombres específicos. Concretamente si MATH se denominan de Gauss-Legendre. Para MATH se denominan de Gauss-Chebyshev de primera especie. Si MATH surgen las de Gauss-Chebyshev de segunda especie. Cuando MATH se denominan de Gauss-Laguerre. Finalmente, si MATH se obtienen las fórmulas de Gauss-Hermite.

Integración adaptada

Un inconveniente de las fórmulas gaussianas es que sus nodos suelen ser irracionales y en la práctica hay que aproximarlos por números racionales: las fórmulas compuestas usan una partición unifiorme del intervalo de integración (para aplicar la fórmula simple), sin tener en cuenta la la variación de la función que se integra. Si embargo, es posible que ésta tenga comportamientos muy diferentes a lo largo de dicho intervalo de integración, variando poco en unas zonas y mucho en otras. Sería lógico considerar más puntos donde la variación es mayor. Esa es la idea de la integración adaptada a la variación de la función, que matizaremos después. Para cada fórmula simple hay que encontrar el algoritmo que encuentra los nodos y aplica dicha fórmula. El programa correspondiente que implementa ese algoritmo dentro de un paquete de sofware se denomina Integrador Automático. En Mathematica se recoge bajo la orden NIntegrate[f[x],{x,a,b}] (no conocemos a qué fórmula simple corresponde, ni el algoritmo programado). Veamos el procedimiento que se debe seguir para realizar una integración adaptada. Lo hacemos con la fórmula del trapecio (se hace de forma análoga con las demás). Notamos por MATH y por MATH los resultados de aplicar la fórmula del trapecio simple y la del trapecio compuesta con dos subintervalos (nodos $a$, $\frac{a+b}2$ y $b$) a la integral de una función $f$. Teniendo en cuenta las expresiones del error para las citadas fórmulas, podemos escribir MATH y

MATH ya que $b-a=2h.$

Ahora hacemos una hipótesis, a saber MATH. De hecho, consideramos que ambos valores son iguales y restamos las dos expresiones, obteniendo que MATH En consecuencia, MATH y MATH

Si el valor del miembro de la derecha de la última expresión, que corresponde al error de la fórmula del trapecio compuesta con $2$ subintervalos, es menor que $\varepsilon$ damos por bueno MATH como aproximación de la integral. Pero como eso no ocurrirá normalmente, entonces se divide el intervalo de integración en dos partes iguales y se aplica a cada una el trapecio simple y el compuesto que resulta de subdividirlo de nuevo en dos partes, permitiendo en cada una un error $\varepsilon/2$. Puede que uno de los subintervalos cumpla la condición y el otro no. En tal caso, aquél en el que no se cumple se divide en dos y se admite como error $\varepsilon/4$ en cada uno; para el intervalo en el que se cumple se da por buena la aproximación correspondiente a la fórmula del trapecio compuesta correspondiente. Hay que continuar hasta que en todos los subintervalos que van apareciendo el error quede acotado por la fracción de $\varepsilon$ que le corresponda.

Resumiendo, en esta práctica se obtienen fórmulas de tipo interpolatorio, y se opera de dos formas: