Resolución numérica de problemas de ecuaciones en derivadas parciales.

Introducción al método de diferencias finitas en varias variables

Redes y funciones sobre redes

Se puede dividir el intervalo cerrado MATHen $n\;$partes iguales, a partir de una \underlinered uniforme con paso MATHy nodos MATH $\ \ $MATH Si dividimos $\overline{I}\;$en $n\;$partes desiguales, entonces tendremos una \underlinered no uniforme, con paso variable MATH.

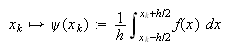
Sobre estas redes consideraremos funciones discretas, que denominaremos funciones de red, y que toman valores sobre los nodos de la red. Si tenemos definida una función sobre el intervalo MATH, podemos considerar dos tipos de \underlinefunciones de red

Si ahora tenemos un rectángulo MATHconsiderando sendas redes uniformes $\omega_{i}\;$en MATH; podemos tomar el producto cartesiano:MATH En cuanto a la notación, lo más habitual en los casos de dimensión dos o tres es emplear las variables usuales: con MATH ($i\equiv k_{1}$ y $j\equiv k_{2}$) y MATH ($i\equiv k_{1},$ $j\equiv k_{2}$ y $k\equiv k_{3}$) por ejemplo.

En general, si tomamos MATHMATH y diremos que la red $\omega\;$es uniforme, si lo son cada una de las MATH

Consideraremos aquí también funciones de red, que serán funciones discretas que toman valores sobre los nodos de la red. Por ejemplo, siMATH está definida en el cierre del dominio acotado MATH podemos definir las siguientes funciones de red :

MATH

MATH

MATH

donde MATH.

Distinguiremos a su vez dos tipos de puntos en MATH, diremos que un nodo es ``\underlineregular'' o perteneciente a la ``parte interior discretizada'' del dominio (que notaremos por MATH) si todos los nodos vecinos están también en MATHe ``\underlineirregular'' o perteneciente a la ``parte de la frontera virtual discreta'' del dominio (simbolizada por MATH ) en caso contrario. Más adelante particularizaremos esto en el caso de dominios del plano curvilíneos con una geometría arbitraria.

Si consideramos redes uniformes de pasoMATH también podemos tomar para cada nodo MATHuna función de red que tenga en cuenta los valores de la función $f\;$alrededor de dicho nodo, mediante la correspondiente media (sólo para los nodos interiores regulares) MATHMATH

MATH

Aproximación de operadores diferenciales

Dada una función ``de variable continua'' queremos definir funciones de red para sus derivadas. En el caso de una variable sea MATH y una red uniforme de paso MATH , MATH.

Para MATH sea MATH el operador derivada primera; los siguientes operadores discretos: MATH MATHyMATH servirán para aproximar $\;L$ (donde MATH,

MATH(diferencia izquierda)

MATH(diferencia derecha)

MATH(diferencia central)

y notaremos MATHsi no hace falta referirse al nodo.

Se comprueba que si $h\rightarrow0,$efectivamente hay convergencia de estos ope-ra-do-res discretos$\;L_{h}^{-},$ MATHen el sentido de que MATH Basta con desarrollar por Taylor: MATH $\;$luego MATH

\underlineEjercicio.- Hacer una demostración análoga para $u_{x^{-},i}$ y $u_{x,i}^{\circ}$.

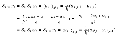
Para la derivada segunda, podemos considerar:MATH

siendo ahora MATH

\underlineEjercicio.- Obtener de forma análoga las correspondientes aproximaciones MATH y MATH; comprobar así mismo el orden de aproximación de cada una de ellas.

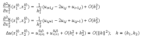
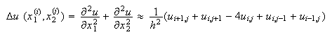
Si consideramos ahora una función de dos variables $u(x_{1},x_{2})\;$definida en MATH, entonces aproximamos :MATH (donde $u_{i,j}$ denota MATH) y de igual modoMATH

Por ejemplo, el operador Laplaciano se aproximará de la siguiente forma, si tomamos incrementos iguales en ambas variablesMATHMATH

que se trata de una fórmula de 5 puntos en cruz. Y si tenemos que resolver la ecuación de Laplace se tendría, igualando a cero la expresión anterior y despejando:MATH

que sería una versión ``discreta'' del teorema de la media para funciones armónicas.

Por la fórmula de Taylor, se sigue que si MATHentonces el error será de orden 2, como se puede ver más en detalle:MATH

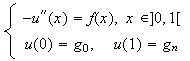
Ejemplo de planteamiento de un problema en diferencias en el caso de una variable

Tomaremos una red uniforme MATH en $\,[0,1]\,$ de paso $h=\dfrac{1}{n}$:

MATH

y definimos la siguiente ``función de red'': $\ $MATH

Buscamos entonces otra función de red MATHde manera que

MATH

Obtenemos pues un sistema lineal de $\,n-1$ ecuaciones con $\,n-1$ incógnitas MATH, de la forma $Au=b;$ donde:

MATH

MATH

Se puede demostrar que este problema aproximado tiene solución única para cada $h>0,$ y que si $h\rightarrow0$ la correspondiente solución $u_{h}$ converje hacia la solución exacta $u$ en un sentido adecuado.

Métodos en diferencias finitas para la resolución de ecuaciones elípticas en el plano

Ecuación de Poisson en el Rectángulo.

Consideramos ahora un dominio rectangular MATH, en el cual queremos resolver de forma aproximada el siguiente problema de Dirichlet para la ecuación de Poisson :

MATH

con funciones MATH; MATH.

Para ello, utilizaremos una red MATHproducto de redes $\omega_{1}\;$y$\;\omega_{2}\;$en $\;I_{1}$e $I_{2}$ respectivamente.

MATH

MATH

llamaremos MATHal conjunto de los nodos frontera, y aproximaremos MATHy MATH por funciones de red

MATH

MATHcon $i=0,n\;\,$o $j=0,m.$

Tendremos entonces el siguiente esquema en diferencias:

MATH

donde recordamos que

MATH

Y si por ejemplo tenemos MATH entonces

MATH

Se puede probar que este método de diferencias finitas aplicado a la ecuación de Poisson con condiciones de Dirichlet, es un problema numérico bien planteado: es decir:

para cierta constante fija $M,$ que no depende de $h,$ de manera que si MATH entonces el error cometido tiende hacia $0$ y MATH en el espacio MATH.

Caso genérico de frontera curvilínea

Sea MATH un dominio (acotado) y consideramos planteado el siguiente problema de Dirichlet.

MATH

Si no conocemos detalladamente alguna de las características de la geometría de $\Omega,$ que puede tener una frontera curvilínea, procederemos mediante un método bastante general y muy simple.

Como $\Omega$ está acotado, podremos encontrar intervalos MATH, de modo que MATH(son acotados) y MATH

Consideraremos purs ``redes'' uniformes $\,\omega_{i}\,$ en cada uno de estos intervalos:

MATH

MATH

y notaremos por MATHla correspondiente red de puntos de la malla MATHque están en MATH

A su vez, distinguiremos dos tipos de puntos en MATH, diremos que un nodo $(x_{k},y_{l})\;$es regular si los cuatro nodos vecinos están también en MATHe irregular en caso contrario.

Sea :

MATHes nodo regular$\}$

MATHes nodo irregular$\}$

En el caso de la ecuación de Laplace ($f\equiv0$) y si los pasos en ambas variables coinciden ($\Delta x=\Delta y$) podremos entonces aproximar la solución en MATHmediante un esquema numérico de tipo cruz: MATHy para los puntos situados en la frontera numérica del dominio MATH MATH siendo MATH el pto. de $\partial\Omega\;$" más próximo" (en las direcciones de los ejes por ejemplo) a $(x_{k},y_{l})$.

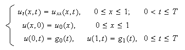
Resolución de problemas transitorios

A la hora de resolver numéricamente problemas relacionados con las ecuaciones del calor, de ondas o cualquier otro tipo de problema evolutivo (que dependa del tiempo $t$), el método de diferencias finitas visto anteriormente se aplica de forma inmediata sin más que considerar las correspondientes aproximaciones de las derivadas temporales, ya sean de primer o segundo orden.

En estos casos, si estamos especialmente interesados en la aproximación numérica de la solución a lo largo del intervalo de tiempo MATH, deberemos considerar la correspondiente partición de este intervalo en el eje temporal, de la forma:

MATH aunque la mayoría de las veces conviene considerar estas particiones de manera que sean uniformes en el siguiente sentido

MATH y se suele notar a las aproximaciones MATH.

Se dirá que estamos considerando un método \underline explícito si podemos ir despejando los valores de $u_{j}^{k+1}$ a partir de los valores conocidos o calculados de la etapa anterior $u_{j}^{k}$ e \underlineimplícito en caso de que esto no pueda ser así, y sea necesario resolver un sistema de ecuaciones en cada iteración de tiempo, porque nuestro esquema involucre al mismo tiempo varias instancias de $u_{j}^{k+1}$ para diferentes valores del índice $j$ al mismo tiempo.

Resolución de problemas parabólicos

Consideremos el siguiente problema mixto para la ecuación del calorMATH y una red en MATHcon pasos $\Delta t\quad $en tiempo y $\Delta x$ en espacio; es decir

MATH MATHrepresentará el valor exacto de la solución del problema en el nodo $(j,k)\;$(suponemos que dicha solución existe) y denotaremos por MATH a la función de red que la aproxima.

En el instante $t=0\;$podemos definir MATHo si el dato $u_{0}$ no fuese muy regular podría ser conveniente aproximar utilizando ciertos promedios:

MATH

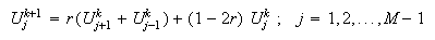
Si suponemos ahora conocida la solución aproximada en el instante $t_{k}\;$y vamos a calcularla en $t_{k+1}$ utilizando datos de contorno:MATH y para calcular MATHdiscretizamos la ecuación del calor del siguiente modo:

MATH que despejando nos queda (con MATH):MATH obteniéndose pues un método llamado \underlinede tipo explícito, que requerirá la siguiente condición de estabilidad, $r\leq\dfrac {1}{2}$ para tener asegurada la convergencia$.$

En el caso de los llamados \underlinemétodos de tipo implícito, una vez inicializado el proceso: MATH, pasamos de $t_{k}\;$a $t_{ki+1}$ por medio de las relaciones:MATH

Se puede demostrar que si el problema tiene una solución suficientemente regular, entoncesMATHy esto sin ningún tipo de restricción respecto al paso de tiempo a tomar; es decir, el esquema resulta \underline incondicionalmente convergente.




Análogamente se pueden definir métodos numéricos, tanto de tipo explícito como implícito, para problemas de tipo hiperbólico (relacionados con la ecuación de ondas).