Resolución numérica de problemas de contorno

Introducción

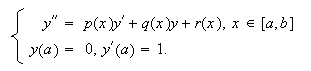
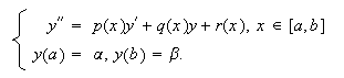
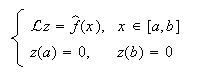
Un problema de contorno para una ecuación diferencial es aquel en el que a la variable dependiente o incógnita se le exigen condiciones en dos o más puntos distintos. Nos centraremos en los problemas de contorno para ecuaciones diferenciales lineales de segundo orden, es decir, problemas del tipo MATH siendo MATH y MATH, con condiciones del tipo MATH o, en general, del tipo MATH con MATH y MATH.

Del mismo modo que ocurre para problemas de valores iniciales, sólo una minoría de ecuaciones lineales pueden resolverse mediante métodos que aparecen en las obras dedicadas a su estudio. Por otro lado, no siempre es posible explicitar una solución que verifique ciertas condiciones del tipo (c16:e2) o, en general, del tipo (c16:e3). Es por ello que se hace necesaria, en la práctica la aplicación de métodos numéricos de resolución aproximada.

Entre los m\as conocidos y utilizados se encuentran el m\etodo de tiro, el de diferencias finitas, los m\etodos de Ritz y Galerkin, o los m\etodos tipo spline entre los que destaca el m\etodo de los elementos finitos.

En este capítulo nos centraremos en los dos primeros: el m\etodo de tiro y el m\etodo de diferencias finitas. Los restantes ser\an objeto de estudio en posteriores capítulos.

Existencia y unicidad de solución

Consideremos el problema de contorno (c16:e1 )--(c16:e2). Nos proponemos estudiar, en principio, bajo qué condiciones podemos asegurar la existencia y unicidad de solución para este problema. Especial atención merecerá el caso en el que la ecuación diferencial (c16:e1) sea lineal.

Para las demostraciones de los resultados que a continuación enunciamos así como para un estudio más especializado en problemas de contorno y sus métodos numéricos, pueden consultarse los libros de Keller y Burden, entre otros.

Teorema.-

Sea MATH y supongamos que MATH verifica las siguientes condiciones:

    1. $f$, MATH y MATH son continuas en $D$,

    2. MATH para todo MATH,

    3. existe una constante $M>0$ tal que MATH

    Entonces el problema (c16:e1 )--(c16:e2) tiene solución única.

  • En particular, como consecuencia de este teorema, se obtiene el siguiente resultado para el caso en que la ecuación diferencial (c16:e1) sea lineal, es decir, si MATH, para MATH.

    Corolario.-

    Consideremos el problema de contorno MATHSi se verifica que

    1. $p$, $q$ y $r$ son continuas en MATH

    2. MATH para todo MATH,

    entonces el problema (c16:e4) tiene solución única.

  • Método de tiro

    Vamos es estudiar un método de aproximación de la solución de un problema de contorno lineal de la forma (c16:e4), o más general, de la forma (c16:e1 )--(c16:e2), que en las condiciones del corolario c16:cor1 o del teorema c16:teo1, respectivamente, existe y es única, mediante la resolución de problemas de valores iniciales asociados a los mismos.

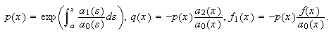
    Nos ocupamos en principio del problema lineal. Por tanto, consideremos el problema de contorno (c16:e4) y supongamos que se verifican las condiciones del corolario c16:cor1. Asociados a este problema, consideremos los problemas de valores iniciales MATH y MATH

    Bajo las condiciones del corolario c16:cor1, los problemas (c16:e5) y (c16:e6 ) admiten soluciones únicas, definidas en $\left[ a,b\right] $.

    Theorem

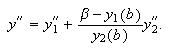
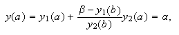
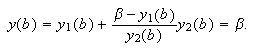
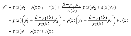
    Supongamos que se verifican las hipótesis del corolario c16:cor1. Sean $y_{1}(x)$ e $y_{2}(x)$ las únicas soluciones de los problemas (c16:e5) y (c16:e6), respectivamente. Entonces MATH es la única solución del problema (c16:e4).

    Demostración.- Bajo las hipótesis del corolario c16:cor1, se verifica que $y_{2}(b)\neq 0$ y, por tanto, $y\left( x\right) $ está bien definida por (c16:e7). Además, MATHTeniendo en cuenta que $y_{1}$ es la solución de (c16:e5) e $y_{2}$ lo es de (c16:e6), se sigue que MATHAdemás se verifica que MATHy MATHLuego $y$ es la única solución de (c16:e4 ). $\square $

    El método de tiro para el problema de contorno (c16:e4) consiste, por tanto, en hallar una aproximación del problema de valores (c16:e5), otra del (c16:e6), y construir la solución $y$ dada por (c16:e7), tal y como se indica en el siguiente algoritmo:

    ALGORITMO DEL MÉTODO DE TIRO LINEAL
    Entrar $p$, $q$, $r$, $a$, $b$, $\alpha$, $\beta$
    Hallar $y_{1}$ como una aproximación de la solución de (c16:e5)
    mediante un método numérico para problemas de valores iniciales
    Hallar $y_{2}$ como una aproximación de la solución de (c16:e6)
    mediante un método numérico para problemas de valores iniciales
    MATH
    Escribir $y$.

    En los pasos segundo y tercero de este algoritmo se necesita incluir el algoritmo de alguno de los métodos de resolución aproximada de problemas de valores iniciales estudiados en el capítulo anterior, tanto para el problema (c16:e5) como para el (c16:e6). El error del método de tiro para problemas lineales vendrá determinado por el error del método de aproximación empleado para estos problemas de valores iniciales, ya que la construcción de la solución del primero es lineal con respecto a las soluciones de los otros dos.

    Consideremos ahora el caso general de un problema de contorno de segundo orden, no necesariamente lineal. Es decir, se trata del problema de contorno MATH

    En este caso, la soluci\on del problema no puede expresarse como una combinaci\on lineal de las soluciones de dos problemas de valores iniciales, debido a la no linealidad de $f$. Para hallarla har\a falta realizar un proceso iterativo.

    Consideremos el problema de valores iniciales MATH para un cierto valor de $m$ dado, que indicará la pendiente de salida de la solución del problema (de ahí el nombre de método de tiro).

    Sea MATH la solución de este problema. Coincidirá con la solución de (c16:e8) si MATH

    Por tanto, se trata de resolver (en la variable $m$) esta última ecuación, para lo cual se puede aplicar cualquier método numérico de los estudiados en el capítulo 2. Pero el empleo de un método u otro necesitará de un mayor o menor conocimiento de la solución de (c16:e9) y, quizá, de alguna derivada, lo cual puede hacer complicada su aplicación.

    Uno de los métodos más sencillos que se puede utilizar para resolver (c16:e10) es el método de la secante, para lo que se necesita dar dos valores iniciales, $m_{0}$ y $m_{1}$, y hallar las siguientes aproximaciones mediante la iteración MATH

    A continuación, conocido el valor de $m_{k}$ en la iteración $k$--ésima, se vuelve a resolver el problema (c16:e9) para $m=m_{k}$ y, mediante (c16:e11) para $k=k+1$, obtener un nuevo valor de la pendiente del tiro $m=m_{k+1}$, reiterando el proceso hasta que se verifique un cierto criterio de parada.

    La convergencia del m\etodo de la secante, en condiciones adecuadas, asegura la convergencia del m\etodo de tiro no lineal.

    Por tanto, el método de tiro, usando el método de la secante, consiste en hallar una solución aproximada de (c16:e8) mediante el siguiente algoritmo (en el que la variable niter indica el número de iteraciones que deseamos realizar):

    ALGORITMO DEL MÉTODO DE TIRO NO LINEAL (SECANTE)
    Entrar $f$, $a$, $b$, $\alpha$, $\beta$, $m_{0}$, $m_{1}$, $niter$
    Hallar MATH una aproximación de la solución
    de (c16:e9) para $m=m_{0}$
    Hallar MATH como una aproximación de la solución
    de (c16:e9) para $m=m_{1}$
    Para $k=2,\ldots,niter$
    MATH
    Hallar MATH como una aproximación de la solución
    de (c16:e9) para $m=m_{k}$
    Escribir MATH.

    Análogamente, se podría haber utilizado el método de Newton--Raphson para hallar una solución aproximada de (c16:e10) en cada iteración, pero la necesidad de conocer la derivada de la solución en la iteración anterior lleva consigo tener que resolver un nuevo problema de valores iniciales. Para un estudio más detallado del método en este caso puede consultarse el libro de Burden[ ], pp. 573--576.

    Debido a la complejidad de estudio del error en estos m\etodos, no vamos a indicar nada sobre el mismo, pero un estudio detallado para el caso de condiciones m\as generales, así como para problemas de contorno para sistemas de ecuaciones diferenciales no lineales, puede realizarse consultando el libro de Keller[ ].

    Método de diferencias finitas

    Los métodos de tiro, tanto para problemas lineales como no lineales, presentan problemas de inestabilidad. Para evitar esto se puede hacer uso de un método de diferencias finitas como los que describiremos a continuación, que, aunque son menos precisos que el método de tiro, presentan mayor estabilidad.

    Estos m\etodos se basan en la sustituci\on de las derivadas que aparecen en el problema de contorno por f\ormulas de derivaci\on num\erica adecuadas, con el orden de error deseado.

    Para ello, sea $N>0$ y consideremos en el intervalo $\left[ a,b\right] $ una partición uniforme en $N$ subintervalos, es decir, la partición de nodos MATH

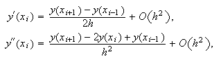
    Sean $y_{0}$, $\ldots$, $y_{n}$ valores reales que suponemos que aproximan a MATH, $\ldots$, MATH, siendo $y\left( x\right) $ la solución de un problema de contorno dado. Entonces, se sabe que, para $i=1,2,\ldots,N-1$, MATH y, por tanto, MATH

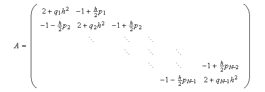
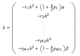
    En el caso lineal, es decir, si consideramos el problema c16:e4, efectuando las aproximaciones antes indicadas, para cada uno de los nodos interiores de la partición fijada, se obtienen las igualdades MATH que se pueden escribir en forma matricial como MATH donde MATH, MATH y MATH habiendo utilizado la notación MATH, MATH y MATH, $i=1,2,\ldots N-1$.

    Por tanto, el algoritmo es el siguiente:

    ALGORITMO DEL MÉTODO DE DIFERENCIAS FINITAS LINEAL
    Entrar $p\left( x\right) $, $q\left( x\right) $, $r\left( x\right) $, $a$, $b$, $\alpha$, $\beta$
    MATH, MATH
    Para $i=1,\ldots,N-1,$
    MATH
    MATH
    MATH
    MATH
    Para $i=1,\ldots,N-2$
    MATH
    MATH
    Resolver $Ay=b$
    Escribir $y$.

    Obsérvese que la salida del algoritmo es el vector de incógnitas MATH. Por otra parte, la resolución del sistema $Ay=b$ se puede hacer mediante el método de descomposición $LU$ para el caso de matrices tridiagonales.

    Los siguientes resultados, cuya demostraci\on omitimos, establecen condiciones suficientes tanto para la unisolvencia de este sistema lineal, como para la determinaci\on de un orden de convergencia cuadr\atico.

    Teorema.-

    Supongamos que $p,q$ y $r$ son continuas en $\left[ a,b\right] $ y que MATH, para todo MATH. Sea MATH. Si $h<\dfrac{2}{L}$ entonces el sistema tridiagonal (c16:e12.1 )-(c16:e12.3) tiene una única solución.

    Teorema.-

    Bajo las hipótesis del teorema anterior, sean $y\left( x\right) $ la única solución de (c16:e4) e MATH la única solución de (c16:e12.1 )-(c16:e12.3). Si MATH entonces MATH

    En el caso de un problema de contorno no lineal, éste se complica ya que el sistema de ecuaciones que se obtiene razonando como para el caso lineal no es lineal, por lo que deberá resolverse mediante alguno de los métodos numéricos de resolución de sistemas de ecuaciones no lineales estudiados en el capítulo 8, como, por ejemplo, el método de Newton.

    Consideremos, por tanto, el problema de contorno no lineal (c16:e9). Aproximando, de nuevo, las derivadas que aparecen por fórmulas de derivación numérica adecuadas y considerando que MATH son aproximaciones de MATH, respectivamente, siendo $y\left( x\right) $ la solución de (c16:e9), siempre que ésta exista, se obtiene el siguiente sistema de ecuaciones, no necesariamente lineales: MATH

    Aplicando el método de Newton para su resolución, se puede probar que el método es convergente de orden MATH (véase Isaacson y Keller).

    Métodos del cálculo de variaciones: técnicas de Ritz y Galerkin.

    Estos métodos numéricos nos servirán para aproximar tanto la extremal de un funcional como la solución de un problema de contorno autoadjunto asociado. Como veremos, el método de Galerkin nos permitirá también tratar problemas no autoadjuntos, que no provienen directamente de la optimización de un funcional. Por ello su uso está bastante extendido para todo tipo de problemas diferenciales e integrales, sobre todo de tipo lineal, en los que se requiere determinar una cierta función solución, que juega el papel de incógnita, y que es la que queremos aproximar.

    La idea en todo caso es la de reemplazar el espacio de funciones de dimensión infinita donde se plantea el problema original por otros espacios de dimensión finita, que estarán generados por funciones que verifiquen además, ciertas condiciones de contorno exigidas.

    Estas funciones del espacio de dimensión finita podrán estar definidas de manera global y tener soporte repartido por todo el intervalo considerado (siendo principalmente de tipo polinómico con grado creciente o bien trigonométrico) o a trozos (a partir de la correspondiente partición del intervalo de partida) conformando los conocidos splines (lineales, cuadráticos o cúbicos, principalmente).

    Las funciones de base ser ortogonales respecto a cierto producto escalar conveniente en el espacio de funciones considerado o casi-ortogonales, por ejemplo si las funciones de base tienen un soporte muy localizado.

    La idea de considerar funciones polinómicas definidas a trozos sobre una partición cada vez más fina. Éstos incluyen los denominados métodos de elementos finitos, en los que se exige cierta regularidad a las funciones del espacio resultante.

    La base pues de todos estos métodos radica en una buena elección de una sucesión de funciones, llamadas funciones coordenadas, que formen un sistema independiente del espacio de funciones considerado, y que sea un conjunto denso del mismo, en el sentido de que el conjunto de combinaciones lineales finitas de éstas permita aproximar con la exactitud deseada cualquier función del espacio donde se debe encontrar la verdadera solución. No obstante, esta idea intuitiva de aproximación, necesitaría muchos de los conceptos fundamentales del Análisis Funcional moderno para poder formularse desde un marco matemático riguroso. Así pues, cabe considerar el concepto de espacio métrico de funciones, en el que se tiene una determinada distancia, MATH. Este espacio se dirá que es completo cuando todas las sucesiones de Cauchy sean convergentes hacia una función de dicho espacio (repasar por ejemplo los conceptos equivalentes en el cuerpo completo de los números reales); en particular, se podrán considerar los denominados espacios de Banach, en los que dicha distancia proviene de una determinada norma, o los llamados espacios de Hilbert, en los que la norma proviene a su vez de un producto escalar.

    En cualquiera de estos casos, lo fundamental además es que en dicho espacio sea posible encontrar una sucesión de funciones coordenadas (linealmente independientes), MATH, tal que, si $\QTR{cal}{X}_{m}$ es el subespacio vectorial de $\QTR{cal}{X}$ generado por las $m$ primeras funciones coordenadas, MATH, se verifiquen las siguientes propiedades:

    Aquí, $\overline{A}$ es la adherencia o cierre topológico del conjunto MATH según la distancia considerada en dicho espacio.

    Cuando estemos considerando un espacio de funciones MATH le pediremos a esta sucesión de funciones coordenadas que ve-ri-fi-que la siguiente propiedad: para cualesquiera $\delta>0$ e $y\in\QTR{cal}{D}$ existen números reales $c_{1}$, $c_{2}$, $\ldots$, $c_{m}$ tales que la función MATH cumple que MATH MATH es la distancia usual en el espacio de funciones de clase MATH.

    Basándonos en el conocido teorema de Weierstrass, de aproximación de funciones suficientemente diferenciables mediante polinomios, o bien en los teoremas de representación de funciones mediante series de Fourier trigonométricas, es fácil justificar que los siguientes sistemas de funciones polinómicas o trigonométricas, dependientes del tipo de condiciones de contorno, verifican las propiedades necesarias.

    Otra cuestión de vital importancia al respecto radica en el hecho de que el buen o mal condicionamiento del problema discreto resultante puede depender también en gran medida de las propiedades de ortogonalidad o casi-ortogonalidad de dichas funciones de base. Por ello, en algunos problemas más complejos será conveniente usar sistemas de funciones especiales, como sistemas de polinomios ortogonales o funciones de Bessel.

    Por ejemplo, los denominados polinomios generalizados de Jacobi, MATH. Incluyen como caso particular a los conocidos polinomios de Legendre (que corresponden a $\alpha=\beta =0$) y verifican la propiedad de ortogonalidad MATH que puede ser aprovechada para realizar desarrollos del tipo MATH o bien para tomar como base, por ejemplo, la constituida por las funciones MATH

    Método de Ritz

    Este método también se conoce con el nombre de Rayleigh-Ritz, ya que es una generalización que ideó Ritz en 1908 de una técnica que Lord Rayleigh (1877-1878) ya había aplicado en su trabajo Theory of Sounds para calcular de forma aproximada los valores propios de ciertos problemas que surgen al estudiar las vibraciones de láminas y placas. También aplicaremos este método para encontrar aproximaciones de las soluciones de problemas de Sturm-Liouville en un capítulo posterior.

    Se puede aplicar por ejemplo, para aproximar las extremales del funcional MATH definido en un espacio de funciones $\QTR{cal}{D}$, donde se tiene unas condiciones de contorno, no necesariamente homogéneas, siendo MATH.

    Si, por ejemplo, las condiciones son de tipo Dirichlet, entonces

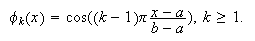
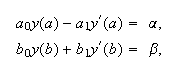
    MATH con $y_{a}$ e $y_{b}$ reales. Por lo tanto, para poder considerar las funciones coordenadas (tanto polinómicas como trigonométricas) que se han indicado anteriormente, será necesario homogeneizar previamente dichas condiciones de contorno. Esto equivale a realizar el cambio de variable dependien-te

    MATH con MATH Se cumple, pues, que $z(a)=z(b)=0$.

    Es fácil determinar, por procedimientos similares, los cambios de variable dependiente necesarios para homogeneizar los otros tipos de condiciones de frontera considerados.

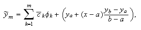
    Homogeneizadas las condiciones de contorno, para cada $m\geq1$ se podrá definir la función MATH dada por

    MATH que equivale a considerar el funcional $\QTR{cal}{F}$ restringido al espacio de funciones finito-dimensional MATH

    La idea pues es que, optimizando esta función de varias variables, es decir buscando dónde alcanza sus valores máximos o mínimos, estaremos de hecho calculando de forma aproximada los valores extremos que alcanza el funcional de partida. Por ello, para aproximar las extremales de aquél, te-ne-mos que empezar buscando cuáles son los puntos críticos de esta función de varias variables.

    Hay que resolver, por tanto, el sistema de ecuaciones

    MATH que, en general, puede ser no lineal, a no ser que la función MATH sea cuadrática en todas y cada una de sus componentes.

    Así pues, la solución del sistema anterior, que podemos denotar MATH, proporcionará la función $\,$MATH que será una aproximación de las verdaderas extremales $\,\overline{y}$ del funcional MATH en el dominio de funciones $\QTR{cal}{D}$. También es lógico esperar que aquellas extremales que proporcionen máximos o mínimos del funcional se correspondan también con máximos y mínimos, respectivamente, de la función considerada.

    Además, si el funcional estuviese acotado inferiormente y, por ejemplo, MATH, notaremos MATH y obtenemos una sucesión decreciente de cotas superiores de dicho ínfimo, MATH,$\ $que convergerá en la mayor parte de los casos que consideraremos en la práctica.

    Definición.-

    En general, cuando se puede encontrar una sucesión MATH tal que MATH, se dice que ésta es una sucesión minimizante.

    No obstante, aunque es relativamente fácil encontrar sucesiones minimizantes cuando el funcional está acotado inferiormente, el mayor problema queda sin resolver. Esto es debido a que estas sucesiones no tienen por qué ser convergentes, e incluso en el caso de converger hacia una MATH, tampoco se tiene asegurado que MATH.

    Uno de los resultados teóricos más generales aplicable en este tipo de situaciones se presenta para un espacio de Hilbert separable, eligiendo un conjunto de funciones coordenadas satisfaciendo las propiedades propiedad1- propiedad3, cuando el funcional es coercivo y débilmente semicontinuo (consultar, por ejemplo, Blan-Bru). Para ver alguna de las primeras aplicaciones en mecánica se puede consultar también los artículos clásicos Duncan.

    Resolución aproximada de problemas de contorno autoadjuntos

    Vamos a aplicar el método de Ritz para resolver problemas de contorno asociados a la ecuación lineal

    MATH donde MATH y MATH

    Sabemos que este problema de contorno en forma autoadjunta proviene de la búsqueda de las extremales del funcional

    MATH

    Para ver esto, bastará con escribir la correspondiente ecuación de Euler-Poisson, que es una condición necesaria de extremo de clase $C^{2}$ para el funcional (funcpcautoadj), con MATH que adopta la forma MATH y que no es más que la indicada en (pobcautoadj), salvo el factor común $2$.

    Supondremos que $\,p$ es positiva en $\left[ a,b\right] $ . Si también se verifica que $q$ es no negativa, entonces se puede ver, gracias a la convexidad del funcional, que $\,\QTR{cal}{F}$ alcanza un único mínimo absoluto en el correspondiente espacio de funciones (cdDirichlet), con condiciones de contorno de tipo Dirichlet.

    Si suponemos que ya se han homogeneizado las condiciones de frontera de tipo Dirichlet, mediante el cambio indicado en (cambiocchDirichlet), entonces la aproximación $m$-ésima se buscará de la forma MATH.

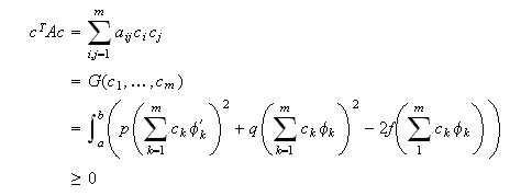
    Ahora bien, MATH siendo MATH y MATH Evidentemente, $a_{ij}=a_{ji}$ para cualesquiera $i$ y $j$.

    Así, $G$ es un polinomio de segundo grado en $m$ variables, y el sistema que se obtiene al buscar los puntos críticos es lineal (salvo un factor constante $2$). Concretamente, MATH es un punto crítico de $G$ si y sólo si $Ac=d$, con MATH y MATH.

    Proposición.-

    Se demuestra que, al menos en el caso indicado anteriormente, con MATH y MATH, MATH, este sistema lineal tiene solución y ésta es única. De hecho, también se comprueba fácilmente que se trata de una matriz simétrica y definida positiva, con las hipótesis hechas sobre las funciones $p$ $\,$ y $\,q$.

    Demostración.- La simetría de la matriz $A$ se deduce de la definición de sus coeficientes, que aparece en (defsistlineal1). Utilizando la interpretación que tiene el hecho de que suponiendo un problema homogéneo, con una función $f(x)\equiv 0$ en el segundo miembro de (pobcautoadj), entonces tendríamos que MATHDe $c^{T}Ac=0$ deduciríamos que MATH. Integrando, encontraríamos que MATH. Como el problema del que partimos tiene condiciones homogéneas, entonces la única posibilidad es que $C=0$. De la independencia lineal de las funciones coordenadas se deduce que MATH. Se concluye, pues, que $A$ es definida positiva y el correspondiente sistema lineal homogéneo $A\,c=0$ tendría como única solución la trivial y cualquier otro (para una función $f(x)\not\equiv 0$) sería compatible determinado, con una única solución por lo tanto. $\Box $

    Método de Galerkin

    Como indicábamos anteriormente, el método de Galerkin nos permitirá aproximar no sólo problemas autoadjuntos sino también problemas que no estén relacionados directamente con la optimización de un funcional. Esto se debe a que este método se basa en la denominada formulación variacional del correspondiente problema diferencial, como veremos más adelante.

    Esta formulación variacional será totalmente equivalente al problema de partida para soluciones suficientemente regulares, ya que bastará con realizar las correspondientes integraciones por partes en el sentido inverso y aplicar el conocido lema fundamental del Cálculo de Variaciones para obtener la ecuación de partida.

    Sin embargo, para funciones que no sean suficientemente diferenciables eesto no será posible; pero esta formulación variacional seguirá teniendo completo sentido ya que en su planteamiento apenas se requieren condiciones de regularidad de la solución, salvo que existan y estén bien definidas las integrales involucradas. Es por ello que muchas veces también se suele llamar formulación débil a esta formulación variacional, ya que a partir de ella se pueden debilitar considerablemente las condiciones de regularidad de la solución. Como veremos, ésta será la vía para ampliar el concepto de solución de una ecuación diferencial para admitir soluciones generalizadas (no regulares) también llamadas soluciones débiles.

    En particular, ésta será también la vía ideal para encontrar soluciones aproximadas que sean polinómicas a trozos y con una regularidad a menudo bastante inferior a la de la solución exacta del problema de partida. Así pues, esta formulación variacional o débil es también la base para aplicar el conocido como método de los elementos finitos, que veremos con más detenimiento en un capítulo posterior.

    De esta manera, el método de Galerkin resulta ser también un caso particular de aplicación en el correspondiente espacio finito-dimensional formado por las llamadas funciones test de una técnica denominada de los residuos ponderados, en la que se intenta minimizar el denominado residuo para la solución aproximada, que para la solución exacta en el espacio total sería nulo.

    Otra interpretación de este hecho también sería el hecho de encontrar la mejor aproximación de la solución exacta en un subespacio de dimensión finita, estando caracterizada esta mejor aproximación por el hecho de que la diferencia entre la solución exacta y la aproximada será ortogonal (respecto a cierto producto escalar adecuado) a todos los elementos del subespacio y, en particular, a todos los de la base del subespacio.

    Formulación variacional de problemas de contorno de segundo orden

    Consideramos, por ejemplo, el problema de contorno con condiciones de tipo Dirichlet

    MATH siendo $f$ una función real de variable real suficientemente deri-va-ble y $\QTR{cal}{L}$ un operador diferencial lineal de segundo orden, dado en forma autoadjunta, o no autoadjunta, respectivamente: MATH

    Suponemos en todo caso que las funciones que definen estos operadores cumplen las propiedades usuales en cuanto a regularidad y signo: MATH y MATH, con MATH, MATH, en el caso autoadjunto, y MATH, en el caso no autoadjunto. De hecho, se puede ver que cuando $a_{0}$ no se anula en $\left[ a,b\right] $ entonces el problema puede escribirse en forma autoadjunta, poniendo MATH

    Un problema diferencial, como los enunciados anteriormente, se puede plan-tear de una forma equivalente de la siguiente manera:

    Por conveniencia del lector incluimos a continuación la demostración del lema fundamental del Cálculo Variacional y la de la enunciada equivalencia entre el problema de contorno de partida y sus correspondiente formulación variacional, para soluciones suficientemente regulares.

    Para ello necesitamos introducir los siguientes espacios de funciones (de manera recursiva): MATH

    Lema fundamental del Cálculo de Variaciones.-

    Si la función continua MATH cumple que MATH para toda función MATH, con $k\geq 0$, entonces $\Psi \equiv 0$.

    Demostración.- La demostración de este lema fundamental no puede ser más simple e inmediata; la haremos por reducción al absurdo. Si MATH para algún MATH, el teorema de conservación del signo garantiza la existencia de un intervalo MATH en el que $\Psi $ tiene el signo de MATH. Podemos encontrar una función MATH tal que MATH, MATH, y sin embargo MATH, MATH. Una posible elección es MATHObservemos que MATHlo que contradice la hipótesis del lema. $\Box $

    Vemos ahora cómo podemos replantear la relación (formintegral): restando ambos miembros, para toda función MATH se verifica que

    MATH Por el lema fundamental del Cálculo de Variaciones,con MATH, obtenemos la ecuación del problema de partida (Pbmacontorno) para soluciones suficientemente regulares (como para que MATH sea continua).

    Implementación práctica

    Cuando las condiciones de contorno no son homogéneas, lo mejor es homogeneizarlas y plantear un problema equivalente MATH con

    MATH

    Por ejemplo, en el caso autoadjunto, tendremos

    MATH

    Podremos considerar entonces MATH, de manera que cualquier combinación lineal de éstas seguirá cumpliendo las condiciones de Dirichlet homogéneas.

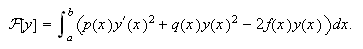
    El método de Galerkin consiste en buscar soluciones aproximadas, en el espacio $\QTR{cal}{X}_{m}$, del problema equivalente (pbmahomegeneizado), pero considerado en su formulación variacional (formintegral). Para ello buscamos MATH tal que MATH Así pues, bastará con que se verifique para el sistema de generadores del espacio $\QTR{cal}{X}_{m}$, es decir, para las funciones $\,\phi_{j}$,$\,\,j=1,\ldots,m.$

    Ahora bien, como MATH es una base del espacio $\QTR{cal}{X}_{m}$, entonces MATH quedará completamente determinada cuando se conozca el valor de cada una de las componentes $c_{k}$, $\,k=1,\ldots,m$.

    Esto plantea la re-so-lución del sistema lineal

    MATH Notando $\,$MATH obtenemos su forma matricial habitual: MATH donde MATH y MATH.

    Se comprueba que, en general, para un problema no autoadjunto esta matriz puede no ser simétrica; sin embargo, para un problema de contorno autoadjunto, bastará tener en cuenta que

    MATH para obtener exactamente la misma expresión para los elementos de la matriz que la que se obtuvo al emplear la idea de Ritz. Vemos pues, que para el caso de problemas autoadjuntos, ambos métodos son equivalentes; sin embargo el método de Galerkin es aplicable también al caso no autoadjunto.

      1. P. Blanchard, E. Brüning, ``Variational Methods in Mathematical Physics: A Unified Approach''. Springer-Verlag (Text and Monographs in Physics).

      2. W.J. Duncan en Gr. Brit. Aeronaut. Res. Comm. Reports and Mem. num. 1798 y 1848.

      3. V. Ramírez, P. González, M. Pasadas, D. Barrera, "MATEMÁTICAS con Mathematica: Cálculo Numérico", Proyecto Sur de Ediciones (1997).